Foram encontradas 50 questões.
Em obras de construção civil, estão previstas em norma regulamentadora, medidas de proteção contra quedas de alturas. Quanto às medidas que devem ser utilizadas para proteção dos trabalhadores contra quedas de alturas, marque a alternativa INCORRETA:
Provas

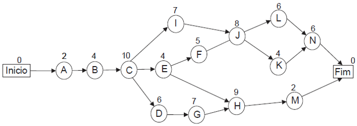
Qual o caminho que representa as Atividades Críticas, ou seja, atividades que não podem sofrer atrasos para não atrasar a duração de todo o projeto?
Provas
O cimento Portland é um produto de características bem definidas pelas Normas Brasileiras. A seguir, encontrase a nomenclatura de alguns tipos de cimento de uso corrente em construções.
Marque a alternativa INCORRETA:
Provas
A trabalhabilidade do concreto, que é uma de suas propriedades fundamentais, pois condiciona seu lançamento em obra, sua compacidade e, por consequência, sua resistência mecânica e durabilidade
I. depende do tipo de cimento utilizado e de suas características.
II. independe da natureza e forma dos agregados.
III. depende da quantidade de água.
IV. depende do traço do concreto.
Assinale a alternativa que contém as afirmativas corretas:
Provas
Os ensaios de campo visam a determinar parâmetros de resistência, deformabilidade e permeabilidade dos solos e alguns desses ensaios também fornecem a estratigrafia local e, neles, alguns parâmetros são obtidos diretamente, ao passo que, em outros, são obtidos por correlações.
Marque a alternativa CORRETA quanto à descrição do tipo de ensaio, suas características e finalidades.
Provas
No projeto elétrico de uma residência, assinale a alternativa correta quanto ao número mínimo de Tomadas de Uso Geral (TUGs) para uma sala de 5 metros de largura por 7,5 metros de comprimento?
Provas
Em um edifício de 10 pavimentos, estima-se que a vazão máxima, devida à utilização de diversos aparelhos, é de 6,8 litros/segundo. Assinale a alternativa correta que apresenta a velocidade de escoamento, tendo-se uma coluna de distribuição de 60 milímetros de diâmetro:
Provas
Assinale a alternativa correta sobre o tempo que levará para encher um reservatório de 500 litros, sabendo-se que a velocidade de escoamento do líquido é de 0,3m/s e o diâmetro do tubo que alimenta o reservatório é igual a 30mm.
Provas
As instalações prediais de esgotos sanitários devem ser projetadas e construídas de modo a atender às Normas Técnicas vigentes, bem como as exigências de higiene, segurança, economia e conforto.
Quanto ao projeto de instalações prediais de esgotos sanitários, marque a alternativa INCORRETA:
Provas
Nas instalações hidráulicas prediais destinadas ao combate a incêndios, geralmente é prevista a construção de reservatórios.
Com relação aos reservatórios destinados ao combate a incêndios, assinale a alternativa correta:
Provas
Caderno Container