Foram encontradas 50 questões.
Dada a equação da reação de oxi-redução abaixo:
a K2Cr2O7 + b H2SO4 + c C2O4H2 → d Cr2(SO4)3 + e K2SO4 + f CO2 + g H2O
Os coeficientes estequiométricos a, b, c e d são, respectivamente,
Provas
O manejo adequado de resíduos químicos é muito importante para a segurança dos usuários do laboratório, bem como para evitar contaminação ambiental. A este respeito, são feitas as afirmativas abaixo:
I Resíduos de solventes orgânicos como hexano, diclorometano e benzeno devem ser armazenados em um mesmo recipiente.
II Resíduos de ácido nítrico com concentração superior a 40% não podem ser armazenados com outros ácidos em um mesmo recipiente.
III Resíduos de soluções aquosas contendo metais pesados devem ser mantidos separados de outros resíduos.
IV Resíduos de peróxidos inorgânicos podem ser oxidados com bromo ou iodo e tratados com tiossulfato de sódio.
Está(ão) correta(s) a(s) afirmativa(s)
Provas
Deseja-se preparar 100 mL de solução 0,50 M de HNO3. O rótulo do ácido concentrado indica que sua percentagem em massa é 70,4% e a densidade é 1,42 g mL-1. O volume, em mL, de HNO3 concentrado que deve ser retirado do frasco é aproximadamente
Provas
A quantidade de água, em mL, que deve ser adicionada a 50,0 mL de solução 1,50 mol L-1 de HCl, para produzir uma solução de concentração 0,250 mol L-1 é
Provas
Algumas das informações mais importantes na Ficha de Informações de Segurança de Produtos Químicos (FISPQ) de uma substância são aquelas relacionadas aos riscos de fogo e explosão. A este respeito, são feitas as seguintes afirmativas:
I A temperatura de autoignição é a menor temperatura que uma substância entra em ignição espontaneamente em contato com o ar.
II Os limites de inflamabilidade são os valores máximo e mínimo da concentração de vapor de uma substância no ar, tal que acima e abaixo desses valores a substância não entra em ignição.
III Um aumento de temperatura causa um aumento no valor mínimo de inflamabilidade de uma substância.
IV Um aumento de pressão causa um aumento no valor máximo de inflamabilidade de uma substância.
Está(ão) correta(s) a(s) afirmativa(s)
Provas
O derramamento de ácidos em laboratórios químicos é um acontecimento relativamente comum. Neste caso, devem-se usar produtos adequados para efetuar a limpeza da área afetada. São exemplos desses produtos:
Provas
A aspirina pode ser sintetizada através da seguinte reação:
2 C7H6O3 (aq) + C4H6O3 → 2 C9H8O4 (aq) + H2O
Um técnico misturou 5,52 g de ácido salicílico (C7H6O3) com 4,08 de anidrido acético (C4H6O3). A maior massa possível de aspirina, em gramas, que se pode obter é
Provas
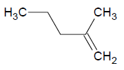
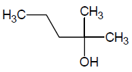
Observe a reação abaixo.

O produto principal dessa reação é
Provas
Observe o esquema de reações abaixo.

As letras F, G, H e I desse esquema podem ser substituídas, respectivamente, por
Provas
O inseticida DDT tem a seguinte composição percentual em massa: 47,5% C; 2,54% H e 50% Cl. A fórmula empírica do DDT é
Provas
Caderno Container