Foram encontradas 50 questões.
Assinale a alternativa na qual o sinal indicativo de crase foi utilizado corretamente.
Provas
Questão presente nas seguintes provas
Analise os enunciados abaixo, no que respeita à conjugação dos verbos.
1) A falta de ética ocasionou séria briga entre os magistrados, na qual ninguém interviu.
2) Denuncie, sempre que você vir atitudes antiéticas dos políticos.
3) Os eleitores requereram dos candidatos, antes de tudo, um comportamento ético e comprometido.
4) Nas últimas eleições, alguns candidatos proporam coisas absurdas aos possíveis eleitores.
Estão de acordo com as regras da norma culta:
Provas
Questão presente nas seguintes provas
Considerando as normas da concordância, analise os enunciados apresentados a seguir.
- Discussões sobre a ética tinham que ser priorizadas no país, embora haja outras questões relevantes.
- ‘Mais importante que discutir ética é praticá-la’, diz os que entendem do assunto.
- Diversos estudos tem comprovado que a falta de ética custa muito caro ao povo brasileiro.
- Atitudes éticas por parte de nossos governantes devem, obrigatoriamente, serem aplaudidas.
Está(ão) correta(s):
Provas
Questão presente nas seguintes provas
“A ética cristã vinculou a ética aos padrões da divindade, à aproximação com Deus”. Esse trecho autoriza o leitor a concluir que:
Provas
Questão presente nas seguintes provas
Assinale a única alternativa em que o termo apresentado entre parênteses é semanticamente equivalente ao termo destacado.
Provas
Questão presente nas seguintes provas
Uma solução que aproxima certas condições de águas marinhas foi preparada dissolvendo-se 0,10 mmol de !$ NH_4Cl !$ e 0,2 mmol de KI em 100,0 mL de água com pH 7,0. Dado que o !$ pK_a !$ do íon amônio é 9,2, e considerando que a solução resultante tem comportamento ideal, o seu pH será:
Provas
Questão presente nas seguintes provas
O etanoato de 3-metil-butila (acetato de isopentila) é um componente do óleo essencial que gera o aroma característico da banana. Com base nesses dados, analise as proposições abaixo.

O etanoato de 3-metil-butila:
- Pode ser sintetizado a partir da reação do ácido acético e o 3-metilbutanol.
- A metodologia de preparação de ésteres envolve a reação de um ácido carboxílico e um álcool em meio ácido.
- Uma forma de deslocar o equilíbrio para a formação do éster é a remoção de água.
- A hidrólise básica do éster gera acetato de sódio e 3-metil-butanol.
Está(ão) correta(s):
Provas
Questão presente nas seguintes provas
Ética e compromisso do servidor público federal
Vivemos em uma época na qual a ética, em todas as suas dimensões, está perdendo força, e as consequências desse processo estão aí, nos insultando: guerras, terrorismo, ameaças nucleares, violência, corrupção, sofrimento etc.
Só para termos uma vaga noção do que a falta de ética causa à nossa sociedade, o Professor Marcos Gonçalves da Silva, da Faculdade Getúlio Vargas, fez um estudo e constatou que, se a conta da corrupção fosse dividida com todos os brasileiros, o custo, para cada um, corresponderia a R$ 6.658,00 por ano, o que impede que a renda per capita do brasileiro salte de aproximadamente R$ 7.000,00 para R$ 9.500,00 ao ano. Estudo semelhante da Fundação Getúlio Vargas, coordenado pelo Professor Marcos Fernandes, revela que a corrupção custa para o Brasil, anualmente, 3,5 bilhões de reais. Não é por outro motivo que se diz que o Brasil tem fome de ética, mas passa fome pela falta dela... Além desses dados globais, no Brasil, o respeito para com os serviços públicos e com as instituições públicas está caminhando para um nível perigoso, para um nível de extrema desconfiança, que tem gerado até chacota para com a vida funcional do servidor público.
No estudo da Ética, costuma-se dividir a sua história em grega, cristã medieval, moderna e contemporânea. A ética grega, aflorada nos gênios de Platão, Sócrates e Aristóteles, conseguiu elevar a ética como disciplina filosófica, fazendo o mundo despertar para ela. A ética cristã vinculou a ética aos padrões da divindade, à aproximação com Deus, e teve parâmetros nas ideias de São Tomaz de Aquino e Santo Agostinho, valorizando o teocentrismo e o cristianismo. A ética moderna, por sua vez, contrapôs a vinculação da ética às divindades, aproximando-a mais da figura do homem e da sua organização social, daí a necessidade do Estado. Houve grandes filósofos e pensadores nessa fase, cujas ideias fizeram surgir a ética unitarista, a qual pregava que o bem era nada mais nada menos do que conseguir dar o máximo de felicidade para o máximo de pessoas; e também o pragmatismo, que tentou desvincular a teoria, para valorizar a prática, de modo que bom era tudo aquilo que servia de instrumento para produzir felicidade. Um modelo de Estado, portanto, começou a se formar. Finalmente, estamos na ética contemporânea, que está em ebulição, após o urbanismo e a fase pós-industrial.
Muitos já disseram e redisseram sobre o conceito de ética. Muitos já tentaram, em vão, eclodir na mente do ser humano a necessária esperança de que o mundo ético é possível, e será eficaz para se aperfeiçoar a sociedade. Muitos já tentaram amainar os famintos de felicidade, com conceitos cheios de beleza e retórica. Talvez por isso é que Álvaro Valls tenha dito que a ética é aquilo que todo mundo sabe o que é, mas que não é fácil de explicar quando alguém pergunta.
O importante, senhores, não é conceituar ética; é vivê-la com intensidade. Não é, em absoluto, se consagrar diante de um conceito que está no fundo da alma; é, sim, resgatar os sentimentos mais profundos, colocando-os a serviço da humanidade. A ética, então, é muito mais do que uma investigação daquilo que é bom; ética é, além da investigação, uma oportunidade para se encontrar a paz social, a organização da sociedade e a aproximação da felicidade. Há mais além da investigação do que é bom, e só o ser humano pode alcançar... Exatamente por isso que Clotet afirmou que a ética se ocupa do aperfeiçoamento do ser humano, pretendendo alcançá-lo; que Singer tenha insistido que a ética pode ser um conjunto de regras, princípios e maneiras de pensar que guiam as ações de um grupo. Quer dizer: a ética não só orienta, mas também guia a conduta do homem na complexa missão de postar-se diante do mundo.
Tenham em mente, então, que a ética, para o ser humano, é antes de tudo uma oportunidade dada a tal ser pensante que, ao nascer, tem pela frente dois mundos: o interior e o exterior. Este último pode ser mudado, aperfeiçoado pelo primeiro; ou, apenas, contemplado.
Bruno Cézar da Luz Pontes. Texto disponível em: http://www.fortium.com.br/blog/material/etica.e.Compromisso.Publico.pdf.
Acesso em 13/03/2013. Adaptado.
O Texto aborda a questão da ética. De modo global, o autor defende que a ética:
Provas
Questão presente nas seguintes provas
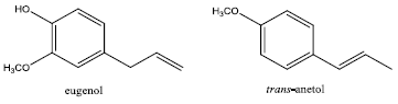
Eugenol e trans-anetol são compostos presentes em óleos essenciais obtidos de especiarias.

Em relação a esses dois compostos, é correto afirmar que:
Provas
Questão presente nas seguintes provas
Uma análise química de alta qualidade requer reagentes e soluções com purezas conhecidas. A pureza dos reagentes tem papel importante na exatidão vinculada a qualquer análise. A esse respeito, analise as proposições a seguir.
- Todo e qualquer frasco deve ser tampado imediatamente após a retirada de um produto químico.
- A tampa dos frascos de reagentes deve ser segurada entre os dedos, e nunca colocada na tampa sobre a mesa.
- Qualquer excesso de reagente nunca deve ser devolvido ao frasco original, a menos que haja instrução para fazê-lo. Por isso, deve-se procurar colocar sempre a quantidade a ser utilizada.
- Espátulas, colheres ou facas nunca devem ser colocadas em um frasco contendo um reagente sólido, a menos que haja instrução para fazê-lo.
- Um padrão primário é um composto altamente purificado, que serve como material de referência em métodos titulométricos de análise.
Estão corretas:
Provas
Questão presente nas seguintes provas
Cadernos
Caderno Container