Foram encontradas 60 questões.
TEXTO
Nossa sabedoria gramatical oculta (que significa “saber português”?)
(1) “Saber gramática”, ou mesmo “saber português”, é geralmente considerado privilégio de poucos. Raras pessoas se atrevem a dizer que conhecem a língua. Tendemos a achar, em vez, que falamos de “qualquer jeito”, sem regras definidas. Dois fatores contribuem para essa convicção tão generalizada: primeiro, o fato de que falamos com uma facilidade muito grande, de certo modo sem pensar (pelo menos, sem pensar na forma do que vamos dizer), e estamos acostumados a associar conhecimento a uma reflexão consciente, laboriosa e por vezes dolorosa. Segundo, o ensino escolar nos inculcou, durante longos anos, a ideia de que não conhecemos a nossa língua; repetidos fracassos em redações, exercícios e provas acentuaram esse complexo.
(2) Pretendo trazer aqui boas notícias. Vou sustentar que, apesar das crenças populares, sabemos, e muito bem, a nossa língua. Nosso conhecimento da língua é ao mesmo tempo altamente complexo, incrivelmente exato e extremamente seguro. Isso se aplica não apenas àqueles que sempre brilharam nas provas de português, mas também a praticamente qualquer pessoa que tenha o português como língua materna.
(3) Será preciso, primeiro, distinguir dois tipos de conhecimentos, aos quais se dão as designações de “implícito” e de “explícito”. Vamos partir de um exemplo: eu sou capaz de andar com razoável eficiência, e em geral ando bastante. No entanto, não sou capaz de explicar os processos musculares e nervosos que ocorrem quando ponho em prática essa minha habilidade tão corriqueira. A fisiologia do andar é para mim um mistério.
(4) Pergunta-se, então: tenho ou não conhecimento da habilidade de andar? A resposta é que tenho esse conhecimento em um sentido muito importante – ou seja, tenho um conhecimento implícito da habilidade de andar. Já meu conhecimento explícito dessa habilidade é deficiente, pois sou incapaz de explicar o que acontece com meu corpo quando estou andando. O que nos interessa aqui é o seguinte: sou detentor de um conhecimento implícito altamente complexo e eficiente. O que eu não sei é explicitar o que faço para andar.
(5) Da mesma forma, qualquer falante do português possui um conhecimento implícito altamente elaborado da língua, muito embora não seja capaz de explicitar esse conhecimento. Esse conhecimento não é fruto de instrução recebida na escola, mas foi adquirido de maneira tão natural e espontânea quanto a nossa habilidade de andar. Mesmo pessoas que nunca estudaram gramática chegam a um conhecimento implícito perfeitamente adequado da língua. São como pessoas que não conhecem a anatomia e a fisiologia das pernas, mas que andam, dançam, nadam e pedalam sem problemas.
(6) Por exemplo: digamos que encontramos em algum texto a seguinte sequência de palavras: “Meus irmãos viram meu irmão na TV”. Essa frase só é aceitável se se entender que o irmão que foi visto na TV não pertence ao grupo dos irmãos que o viram. Será inaceitável se se entender que o irmão que apareceu na TV faz parte do conjunto dos que assistiram ao programa.
(7) De onde tiramos esse conhecimento? Como se explica que tenhamos intuições tão definidas acerca de frases que nunca encontramos antes? Tudo provém do uso que fazemos a todo momento desse mecanismo maravilhosamente complexo que temos em nossas mentes, e que manejamos com admirável destreza. Esse mecanismo é o nosso conhecimento implícito da língua, objeto principal da investigação dos linguistas.
(Mário A. Perini. Sofrendo a gramática. São Paulo: Editora Ática, 1997, p. 11-16. Adaptado).
Analise a sintaxe do seguinte trecho: “Isso se aplica não apenas àqueles que sempre brilharam nas provas de português, mas também a praticamente qualquer pessoa que tenha o português como língua materna.” Do ponto de vista sintático, se pode dizer que, nesse trecho:
Provas
Questão presente nas seguintes provas
TEXTO
Nossa sabedoria gramatical oculta (que significa “saber português”?)
(1) “Saber gramática”, ou mesmo “saber português”, é geralmente considerado privilégio de poucos. Raras pessoas se atrevem a dizer que conhecem a língua. Tendemos a achar, em vez, que falamos de “qualquer jeito”, sem regras definidas. Dois fatores contribuem para essa convicção tão generalizada: primeiro, o fato de que falamos com uma facilidade muito grande, de certo modo sem pensar (pelo menos, sem pensar na forma do que vamos dizer), e estamos acostumados a associar conhecimento a uma reflexão consciente, laboriosa e por vezes dolorosa. Segundo, o ensino escolar nos inculcou, durante longos anos, a ideia de que não conhecemos a nossa língua; repetidos fracassos em redações, exercícios e provas acentuaram esse complexo.
(2) Pretendo trazer aqui boas notícias. Vou sustentar que, apesar das crenças populares, sabemos, e muito bem, a nossa língua. Nosso conhecimento da língua é ao mesmo tempo altamente complexo, incrivelmente exato e extremamente seguro. Isso se aplica não apenas àqueles que sempre brilharam nas provas de português, mas também a praticamente qualquer pessoa que tenha o português como língua materna.
(3) Será preciso, primeiro, distinguir dois tipos de conhecimentos, aos quais se dão as designações de “implícito” e de “explícito”. Vamos partir de um exemplo: eu sou capaz de andar com razoável eficiência, e em geral ando bastante. No entanto, não sou capaz de explicar os processos musculares e nervosos que ocorrem quando ponho em prática essa minha habilidade tão corriqueira. A fisiologia do andar é para mim um mistério.
(4) Pergunta-se, então: tenho ou não conhecimento da habilidade de andar? A resposta é que tenho esse conhecimento em um sentido muito importante – ou seja, tenho um conhecimento implícito da habilidade de andar. Já meu conhecimento explícito dessa habilidade é deficiente, pois sou incapaz de explicar o que acontece com meu corpo quando estou andando. O que nos interessa aqui é o seguinte: sou detentor de um conhecimento implícito altamente complexo e eficiente. O que eu não sei é explicitar o que faço para andar.
(5) Da mesma forma, qualquer falante do português possui um conhecimento implícito altamente elaborado da língua, muito embora não seja capaz de explicitar esse conhecimento. Esse conhecimento não é fruto de instrução recebida na escola, mas foi adquirido de maneira tão natural e espontânea quanto a nossa habilidade de andar. Mesmo pessoas que nunca estudaram gramática chegam a um conhecimento implícito perfeitamente adequado da língua. São como pessoas que não conhecem a anatomia e a fisiologia das pernas, mas que andam, dançam, nadam e pedalam sem problemas.
(6) Por exemplo: digamos que encontramos em algum texto a seguinte sequência de palavras: “ Meus irmãos viram meu irmão na TV”. Essa frase só é aceitável se se entender que o irmão que foi visto na TV não pertence ao grupo dos irmãos que o viram. Será inaceitável se se entender que o irmão que apareceu na TV faz parte do conjunto dos que assistiram ao programa.
(7) De onde tiramos esse conhecimento? Como se explica que tenhamos intuições tão definidas acerca de frases que nunca encontramos antes? Tudo provém do uso que fazemos a todo momento desse mecanismo maravilhosamente complexo que temos em nossas mentes, e que manejamos com admirável destreza. Esse mecanismo é o nosso conhecimento implícito da língua, objeto principal da investigação dos linguistas.
(Mário A. Perini. Sofrendo a gramática. São Paulo: Editora Ática, 1997, p. 11-16. Adaptado).
Muitas palavras contam com a possibilidade da sinonímia, ou seja, contam com outras de sentido equivalente. A esse respeito, analise as indicações dos sentidos sinônimos das palavras sublinhadas.
1) meu conhecimento (...) dessa habilidade é deficiente (falho, incompleto)
2) minha habilidade tão corriqueira (apressada, ligeira)
3) sou detentor de um conhecimento implícito. (depositário)
4) exercícios e provas acentuaram esse complexo. (atenuaram)
5) manejamos com admirável destreza (aptidão)
Estão corretas:
Provas
Questão presente nas seguintes provas
Uma carga trifásica equilibrada de um motor é alimentada por uma fonte trifásica 380V, 60Hz. Se a corrente de linha é 10A, e o fator de potência do motor é 0,5 e rendimento unitário, determine a potência reativa em VAR absorvida pelo motor.
Provas
Questão presente nas seguintes provas
Uma carga equilibrada conectada em triângulo (Δ) absorve uma corrente de linha de 10A e uma potência de 3300 W a 220V.
Determine a reatância de cada fase da carga.
Provas
Questão presente nas seguintes provas
Dados para auxiliar a resolução da questão seguinte.
| !$ \theta !$ | !$ \mathsf{sen\theta} !$ | !$ \mathsf{cos\theta} !$ |
| !$ 0^\circ !$ | !$ 0 !$ | !$ 1 !$ |
| !$ 30^\circ !$ | !$ 1/2 !$ | !$ \sqrt{3}/2 !$ |
| !$ 45^\circ !$ | !$ \sqrt{2}/2 !$ | !$ \sqrt{2}/2 !$ |
| !$ 60^\circ !$ | !$ \sqrt{3}/2 !$ | !$ 1/2 !$ |
| !$ 90^\circ !$ | !$ 1 !$ | !$ 0 !$ |
Uma bobina é alimentada por uma tensão de 100∠0ºV, cuja impedância é de 20∠60ºΩ.
Sobre o fator de potência (fp) desse circuito, podemos afirmar que ele é de:
Provas
Questão presente nas seguintes provas
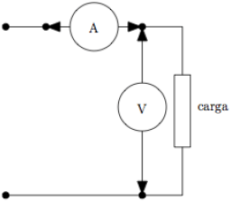
O amperímetro mede uma corrente de 3A, e o voltímetro mede uma tensão de 50V para uma carga que absorve 150W.
Determine o fator de potência da carga.

Provas
Questão presente nas seguintes provas
Dados para auxiliar a resolução da questão seguinte.
| !$ \theta !$ | !$ \mathsf{sen\theta} !$ | !$ \mathsf{cos\theta} !$ |
| !$ 0^\circ !$ | !$ 0 !$ | !$ 1 !$ |
| !$ 30^\circ !$ | !$ 1/2 !$ | !$ \sqrt{3}/2 !$ |
| !$ 45^\circ !$ | !$ \sqrt{2}/2 !$ | !$ \sqrt{2}/2 !$ |
| !$ 60^\circ !$ | !$ \sqrt{3}/2 !$ | !$ 1/2 !$ |
| !$ 90^\circ !$ | !$ 1 !$ | !$ 0 !$ |
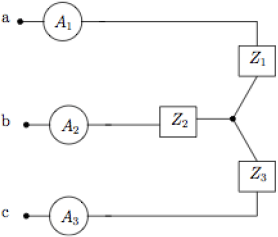
Determine a leitura do amperímetro A1 para o circuito mostrado a seguir.
O circuito é alimentado por uma fonte trifásica de 240 V, 60 Hz. Com Z1 = 3 ∠ 0ºΩ, Z2 = 3 ∠ 90ºΩ e Z3 = 3 ∠ –90ºΩ.

Provas
Questão presente nas seguintes provas
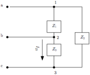
Calcule a corrente de fase I23 da carga conectada em Δ, considerando como referência a tensão Eab, sequência de fase abc.
A carga é alimentada por uma fonte trifásica de 450V, 60Hz. Com Z1 = 10∠60ºΩ, Z2 = = 10∠60ºΩ e Z3 = 10∠60ºΩ.

Provas
Questão presente nas seguintes provas
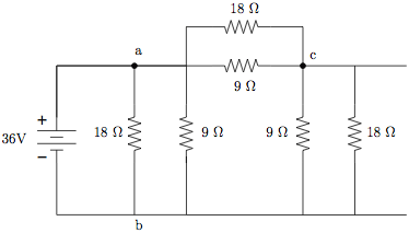
Determine a tensão entre os terminais a e c:

Provas
Questão presente nas seguintes provas
Com relação ao gerador de funções, analise as afirmativas abaixo.
1) Mede funções.
2) Gera tensões variáveis como funções do tempo.
3) Produz sinais de forma de onda senoidal, quadrada e triangulares.
Está(ão) correta(s):
Provas
Questão presente nas seguintes provas
Cadernos
Caderno Container