Foram encontradas 80 questões.
2955426
Ano: 2023
Disciplina: TI - Desenvolvimento de Sistemas
Banca: COVEST-COPSET
Orgão: UFPE
Disciplina: TI - Desenvolvimento de Sistemas
Banca: COVEST-COPSET
Orgão: UFPE
Provas:
No contexto de desenvolvimento Web, referente ao padrão
de arquitetura MVC (Model-View-Controller), qual das
seguintes afirmações é verdadeira?
Provas
Questão presente nas seguintes provas
2955425
Ano: 2023
Disciplina: TI - Desenvolvimento de Sistemas
Banca: COVEST-COPSET
Orgão: UFPE
Disciplina: TI - Desenvolvimento de Sistemas
Banca: COVEST-COPSET
Orgão: UFPE
Provas:
Acerca da arquitetura hexagonal (hexagonal architecture) e
considerando o contexto de microsserviços, assinale a
alternativa correta.
Provas
Questão presente nas seguintes provas
2955424
Ano: 2023
Disciplina: TI - Desenvolvimento de Sistemas
Banca: COVEST-COPSET
Orgão: UFPE
Disciplina: TI - Desenvolvimento de Sistemas
Banca: COVEST-COPSET
Orgão: UFPE
Provas:
- Fundamentos de ProgramaçãoEstruturas de DadosEstrutura de Dados: Fila
- Fundamentos de ProgramaçãoEstruturas de DadosEstrutura de Dados: ListaLista Encadeada
- Fundamentos de ProgramaçãoEstruturas de DadosEstrutura de Dados: Pilha
- LinguagensJava
Suponha que, em Java, utilizamos a classe LinkedList para
implementar uma estrutura de dados dinâmica. Vamos
considerar duas possibilidades para inserção e remoção: i.
usar apenas os métodos addFirst() e removeFirst(); ou ii.
usar apenas os métodos addLast() e removeLast().
Podemos, então, afirmar que,
Provas
Questão presente nas seguintes provas
2955423
Ano: 2023
Disciplina: TI - Desenvolvimento de Sistemas
Banca: COVEST-COPSET
Orgão: UFPE
Disciplina: TI - Desenvolvimento de Sistemas
Banca: COVEST-COPSET
Orgão: UFPE
Provas:
Considere o seguinte código em Java:
A execução desse código resulta na impressão do seguinte valor:
A execução desse código resulta na impressão do seguinte valor:
Provas
Questão presente nas seguintes provas
2955422
Ano: 2023
Disciplina: TI - Desenvolvimento de Sistemas
Banca: COVEST-COPSET
Orgão: UFPE
Disciplina: TI - Desenvolvimento de Sistemas
Banca: COVEST-COPSET
Orgão: UFPE
Provas:
Considere o seguinte código em Java:
A execução desse código resulta na impressão do seguinte valor:
A execução desse código resulta na impressão do seguinte valor:
Provas
Questão presente nas seguintes provas
2955421
Ano: 2023
Disciplina: TI - Desenvolvimento de Sistemas
Banca: COVEST-COPSET
Orgão: UFPE
Disciplina: TI - Desenvolvimento de Sistemas
Banca: COVEST-COPSET
Orgão: UFPE
Provas:
Considere o seguinte código em Java:
A execução desse código resulta na impressão do seguinte valor:
A execução desse código resulta na impressão do seguinte valor:
Provas
Questão presente nas seguintes provas
2955420
Ano: 2023
Disciplina: TI - Desenvolvimento de Sistemas
Banca: COVEST-COPSET
Orgão: UFPE
Disciplina: TI - Desenvolvimento de Sistemas
Banca: COVEST-COPSET
Orgão: UFPE
Provas:
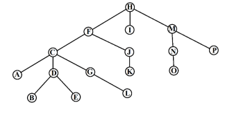
Considere uma árvore como ilustrada na figura a seguir.

Considerando que os nós mais à esquerda têm precedência sobre os nós mais à direita, e que só se imprime o elemento do nó na sua primeira visita, podemos dizer que as ordens de visitação aos nós, obtidas, primeiro, com uma busca em profundidade (DFS) e, depois, com uma busca em largura (BFS), nesta árvore, são, respectivamente:
Provas
Questão presente nas seguintes provas
2955419
Ano: 2023
Disciplina: TI - Desenvolvimento de Sistemas
Banca: COVEST-COPSET
Orgão: UFPE
Disciplina: TI - Desenvolvimento de Sistemas
Banca: COVEST-COPSET
Orgão: UFPE
Provas:
Considere a implementação de uma fila (FIFO) de forma
estática (array) com indexação entre 1 e 10, utilizando
encadeamento simples nos campos do array,
desobrigando, assim, que os elementos da fila estejam
numa sequência de posições adjacentes do array. As
posições livres são guardadas na forma de uma pilha
(FILO), para facilitar a implementação. Neste exemplo em
particular, cada elemento do array possui dois campos: o
campo de dados (DADOS) e o índice do próximo elemento
da estrutura (PROX), ou seja, o índice do elemento cuja
inserção ocorreu imediatamente antes do referido
elemento, para ambas: a fila e a pilha de elementos livres.
O índice do último elemento inserido na fila de dados está
na variável ULTIMO, e o índice do topo da pilha de
elementos livres está na variável TOPO. O elemento mais
antigo na fila de dados ou na pilha de posições livres é
indicado por PROX= −1. Suponha que, após múltiplas
inserções e deleções, ficamos com a configuração ilustrada
na figura a seguir.

Provas
Questão presente nas seguintes provas
2955418
Ano: 2023
Disciplina: TI - Desenvolvimento de Sistemas
Banca: COVEST-COPSET
Orgão: UFPE
Disciplina: TI - Desenvolvimento de Sistemas
Banca: COVEST-COPSET
Orgão: UFPE
Provas:
Considere a implementação de uma fila (FIFO) de forma
estática (array) com indexação entre 1 e 10, utilizando
encadeamento simples nos campos do array,
desobrigando, assim, que os elementos da fila estejam
numa sequência de posições adjacentes do array. As
posições livres são guardadas na forma de uma pilha
(FILO), para facilitar a implementação. Neste exemplo em
particular, cada elemento do array possui dois campos: o
campo de dados (DADOS) e o índice do próximo elemento
da estrutura (PROX), ou seja, o índice do elemento cuja
inserção ocorreu imediatamente antes do referido
elemento, para ambas: a fila e a pilha de elementos livres.
O índice do último elemento inserido na fila de dados está
na variável ULTIMO, e o índice do topo da pilha de
elementos livres está na variável TOPO. O elemento mais
antigo na fila de dados ou na pilha de posições livres é
indicado por PROX= −1. Suponha que, após múltiplas
inserções e deleções, ficamos com a configuração ilustrada
na figura a seguir.

Provas
Questão presente nas seguintes provas
2955417
Ano: 2023
Disciplina: TI - Desenvolvimento de Sistemas
Banca: COVEST-COPSET
Orgão: UFPE
Disciplina: TI - Desenvolvimento de Sistemas
Banca: COVEST-COPSET
Orgão: UFPE
Provas:
- Fundamentos de ProgramaçãoAlgoritmosConstrução de Algoritmos
- Fundamentos de ProgramaçãoEstruturas de DadosEstrutura de Dados: Array
- Fundamentos de ProgramaçãoEstruturas de DadosEstrutura de Dados: Fila
Considere a implementação de uma fila (FIFO) de forma
estática (array) com indexação circular, iniciando em 0 e
finalizando no índice N-1, onde N é o tamanho do array.
Seja Ins o índice da posição livre na qual a próxima inserção
na fila deve ocorrer; seja Prim o índice do elemento mais
antigo a permanecer na fila; e seja (A MOD B) o resto da
divisão inteira de A por B. Com base nesses dados, analise
as afirmações a seguir.
1) Para inserção, caso a fila não esteja cheia, atribuímos o elemento ao array na posição Ins e, em seguida, atribuímos a Ins o valor de (Ins MOD N)+.
2) Para deleção, caso a fila não esteja vazia, atribuímos a Prim o valor de ((Prim+1) MOD N).
3) Se Prim=Ins, podemos concluir que a fila está vazia.
4) Se Prim=((Ins+1) MOD N), podemos concluir que a fila está cheia.
Estão corretas:
1) Para inserção, caso a fila não esteja cheia, atribuímos o elemento ao array na posição Ins e, em seguida, atribuímos a Ins o valor de (Ins MOD N)+.
2) Para deleção, caso a fila não esteja vazia, atribuímos a Prim o valor de ((Prim+1) MOD N).
3) Se Prim=Ins, podemos concluir que a fila está vazia.
4) Se Prim=((Ins+1) MOD N), podemos concluir que a fila está cheia.
Estão corretas:
Provas
Questão presente nas seguintes provas
Cadernos
Caderno Container