Magna Concursos

Foram encontradas 60 questões.

2104508 Ano: 2021
Disciplina: Física
Banca: UFPR
Orgão: UFPR
Provas:

O texto a seguir é referência para a questão.

Na questão, as medições são feitas por um referencial inercial.

O módulo da aceleração gravitacional é representado por g. Onde for necessário, use g = 10 m/s² para o módulo da aceleração gravitacional.

Um objeto de massa m = 400 g é colocado sobre uma plataforma horizontal de área A = 5 cm². O sistema assim formado está em equilíbrio estático. Considerando apenas a força exercida pelo objeto sobre a plataforma, assinale a alternativa que apresenta corretamente o valor da pressão P exercida sobre a plataforma.

 

Provas

Questão presente nas seguintes provas
2104507 Ano: 2021
Disciplina: Geografia
Banca: UFPR
Orgão: UFPR
Provas:
As linhas de um mapa que conectam pontos de igual valor são denominadas isolinhas, como os pontos de iguais cotas de altitude utilizados nas representações cartográficas do relevo. Com base nas representações cartográficas do relevo, é correto afirmar que isolinhas:
 

Provas

Questão presente nas seguintes provas
2104506 Ano: 2021
Disciplina: Geografia
Banca: UFPR
Orgão: UFPR
Provas:
No clima dos grandes centros urbanos, os enormes edifícios, as vastas áreas impermeabilizadas, o asfaltamento de ruas e avenidas e a redução das áreas verdes ocasionam a elevação das médias térmicas de tal modo que a área central é mais quente que as áreas mais afastadas, como as periferias urbanas e as áreas rurais vizinhas. A denominação atribuída a esse fenômeno é:
 

Provas

Questão presente nas seguintes provas
2104505 Ano: 2021
Disciplina: Geografia
Banca: UFPR
Orgão: UFPR
Provas:
Os solos são produto de um longo processo de decomposição das rochas, desencadeado conjuntamente pela ação química e física de elementos da dinâmica da natureza. Contudo, com a ocupação humana e o seu consequente uso, os solos podem ser submetidos a severos impactos, como a salinização. A principal causa da salinização dos solos é:
 

Provas

Questão presente nas seguintes provas
2104504 Ano: 2021
Disciplina: Geografia
Banca: UFPR
Orgão: UFPR
Provas:
Lugares podem afetar outros lugares por meio da difusão ou propagação espacial de fenômenos no espaço e no tempo, que assumem a forma de ideias, inovações, produtos, novas tecnologias, traços culturais e doenças contagiosas. A respeito da difusão ou propagação espacial de fenômenos entre os lugares, assinale a alternativa correta.
 

Provas

Questão presente nas seguintes provas
2104503 Ano: 2021
Disciplina: Química
Banca: UFPR
Orgão: UFPR
Provas:
Tecidos empregados na confecção de roupas em geral podem ser divididos em naturais, que compreendem o algodão, a lã e a seda, e em sintéticos, como o poliéster, o polipropileno, o náilon etc. Diferentemente do algodão, constituído por fibras de celulose que contêm unidades de carboidratos, a seda é constituída de fibras proteicas que contêm aminoácidos, sendo essas fibras produzidas pelo bicho-da-seda. Esse tecido foi introduzido por volta do ano 2600 a.C. e até hoje é considerado insubstituível devido às suas características. A estrutura constituinte da fibra da seda corresponde a:
 

Provas

Questão presente nas seguintes provas
2104502 Ano: 2021
Disciplina: Química
Banca: UFPR
Orgão: UFPR
Provas:
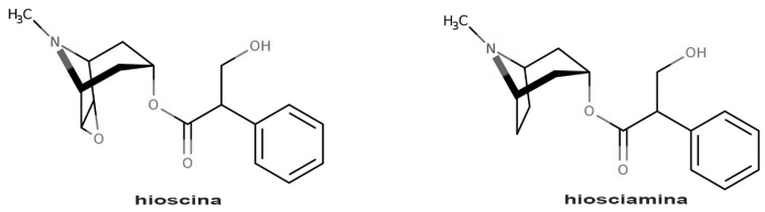
No livro Harry Potter e a câmara secreta, os protagonistas têm uma aula sobre a colheita da mandrágora, uma planta capaz de produzir uma poção restaurativa. De fato, a mandrágora é uma planta que foi associada às práticas de bruxaria na Idade Média. Herboristas da época, na maioria mulheres, eram frequentemente acusadas e condenadas à fogueira por bruxaria. Essas mulheres detinham o conhecimento para extrair o extrato da raiz de mandrágora e preparar um unguento, à base de óleos ou gordura animal, com propriedades medicinais, anestésicas e (em doses mais altas) alucinógenas. Os dois principais alcaloides presentes na raiz da mandrágora são hioscina e hiosciamina, cujas estruturas são mostradas a seguir:
enunciado 1214129-1
Esses alcaloides apresentam alta combinação com óleos e gorduras bem como baixíssima solubilidade em água. Isso se justifica porque eles:
 

Provas

Questão presente nas seguintes provas
2104501 Ano: 2021
Disciplina: Química
Banca: UFPR
Orgão: UFPR
Provas:
Apesar de o NH4NO3 ser um composto de grande periculosidade pelo risco de causar explosões catastróficas, ele é empregado em grande escala como fertilizante, pois tem alta proporção de nitrogênio em sua composição. Um dos processos industriais para a sua produção envolve a seguinte reação química:
Ca(NO3)2(aq) + 2NH3(g) + CO2(g) + H2O(l) → 2NH4NO3(aq) + CaCO3(s)
Conforme apresentado pela equação acima, além do produto desejado, forma-se um subproduto insolúvel que pode ser removido posteriormente.
Qual é o nome recomendado pela IUPAC (União Internacional de Química Pura e Aplicada) desse subproduto?
 

Provas

Questão presente nas seguintes provas
2104500 Ano: 2021
Disciplina: Química
Banca: UFPR
Orgão: UFPR
Provas:
Para manter uma atmosfera saudável em ambientes totalmente fechados, como espaçonaves ou submarinos, faz-se necessária a remoção do gás carbônico expirado. O peróxido de lítio (Li2O2) tem vantagens para tal aplicação, pois, além de absorver o CO2, libera oxigênio gasoso (O2), conforme mostra a equação química a seguir:
2Li2O2(s) + 2CO2(g) → 2Li2CO3(s) + O2(g)
Se 88 L de gás carbônico forem absorvidos pelo peróxido de lítio, qual será o volume de oxigênio liberado?
 

Provas

Questão presente nas seguintes provas
2104499 Ano: 2021
Disciplina: Filosofia
Banca: UFPR
Orgão: UFPR
Provas:
O livro X da obra A República é, em grande parte, dedicado aos poetas em geral e a Homero em particular. Tendo em vista os argumentos desenvolvidos nesse livro, é correto afirmar que, para Platão:
 

Provas

Questão presente nas seguintes provas