Foram encontradas 60 questões.
Numa ordem de compra gastaram-se R$ 720,00 em resmas e pastas de papelão. Nessa compra cada resma custou R$ 12,00 e cada pasta ofício, R$ 1,20. Sabendo-se que o número de pastas de papelão correspondeu ao dobro do número de resmas nessa ordem de compra, a soma do número de resmas e do número de pastas de papelão adquiridas foi:
Provas
Questão presente nas seguintes provas
A tabela a seguir informa a área, em 1000 km2, dos continentes do globo terrestre.

Entre os gráficos a seguir, assinale o único que pode representar a distribuição percentual da área ocupada por cada continente.

Entre os gráficos a seguir, assinale o único que pode representar a distribuição percentual da área ocupada por cada continente.
Provas
Questão presente nas seguintes provas
Antônio gastou R$ 240,00 na compra de brindes iguais para distribuir no fnal de ano. Com um desconto de R$ 2,00 em cada brinde, teria comprado 10 brindes a mais com os mesmos R$ 240,00. A equação cuja solução levará ao valor do brinde sem o desconto é dada por:
Provas
Questão presente nas seguintes provas

Supondo que o comportamento das taxas de fecundidade nos períodos entre dois Censos consecutivos seja linear, isto é, um segmento de reta é um modelo adequado para o comportamento das taxas de fecundidade entre dois Censos consecutivos, a estimativa para a taxa de fecundidade no ano de 1985 é, aproximadamente:
Provas
Questão presente nas seguintes provas

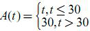
Comparando-se os planos A e B, o plano B deve ser recomendado para consumidores que utilizam mais de:
Provas
Questão presente nas seguintes provas

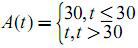
A expressão que corresponde ao total mensal a pagar, pelo plano A em função do número t de minutos utilizados é:
Provas
Questão presente nas seguintes provas

Provas
Questão presente nas seguintes provas

Provas
Questão presente nas seguintes provas

Provas
Questão presente nas seguintes provas

Provas
Questão presente nas seguintes provas
Cadernos
Caderno Container