Magna Concursos

Foram encontradas 60 questões.

535445 Ano: 2014
Disciplina: Engenharia Mecânica
Banca: UFRJ
Orgão: UFRJ
As propriedades dos lubrificantes são determinadas pela aplicação de testes específicos. O índice de viscosidade de um óleo é identificado:
 

Provas

Questão presente nas seguintes provas
531936 Ano: 2014
Disciplina: Engenharia Mecânica
Banca: UFRJ
Orgão: UFRJ
Considerando-se geometria, regime de rotação, temperaturas, a lubrificação de mancais de deslizamento pode ser realizada por óleos ou graxas. Utilizando-se óleos, a principal definição é a viscosidade. Seguindo o mesmo raciocínio, identifique a alternativa que indica a decisão mais relevante no caso da lubrificações com graxas.
 

Provas

Questão presente nas seguintes provas
531934 Ano: 2014
Disciplina: Engenharia Mecânica
Banca: UFRJ
Orgão: UFRJ
Com base na NBR12298/95, identifique a alternativa que apresenta a planta correta da montagem representada pelo corte AA’.
Enunciado 531934-1
 

Provas

Questão presente nas seguintes provas
527768 Ano: 2014
Disciplina: Engenharia Mecânica
Banca: UFRJ
Orgão: UFRJ
O monitoramento dos sinais emitidos pela vibração dos componentes de equipamentos mecânicos, além de oferecer maior precisão no diagnóstico, permite prolongar o prazo para intervenção nos mesmos, evitando assim a substituição de peças desnecessariamente.
Nesse tipo de sistema de manutenção, o sinal do equipamento monitorado é:
 

Provas

Questão presente nas seguintes provas

Uma das expressões da desatualização da Lei Federal n° 8.112, de 1990, já com 24 anos, é a omissão de dispositivos claros a respeito de manifestações de assédio moral, absurdamente cada vez mais comuns, sobretudo no nível das relações hierárquicas. Além do dispositivo que proíbe o servidor de promover manifestação de apreço ou desapreço no recinto da repartição, no Regime Disciplinar dos Servidores Públicos Civis da União, das Autarquias e das Fundações Públicas Federais (Título IV da referida Lei) há deveres que, respeitados pela autoridade, resguardam o servidor de variadas modalidades de assédio moral. Assinale, adiante, a alternativa em que esses deveres são citados:

Enunciado 519995-1

Fonte: cultura.culturamix.com

 

Provas

Questão presente nas seguintes provas
Em 27 de março último, o Conselho Universitário da UFRJ aprovou a criação do Ano da Memória e Verdade da universidade. Especialmente entre 1º de abril de 2014 e 1º de abril de 2015, diversas iniciativas coordenadas pela Comissão da Memória e Verdade da instituição discutirão os anos de ditadura militar marcados por graves violações de direitos na sociedade, nas instituições universitárias, em geral, e na UFRJ, em especial. O texto adiante é o da Nota Pública da COMISSÃO NACIONAL DA VERDADE publicada em 30 de março de 2014. Leia-o, atentamente, e responda à questão proposta a seguir.
50 anos do golpe de Estado de 1964
Há cinquenta anos um golpe de estado militar destituiu o governo constitucional do presidente João Goulart. Instaurou por longo tempo no país um regime autoritário que desrespeitava os direitos humanos; no qual os direitos sociais de muitos eram ignorados; em que os opositores e dissidentes foram rotineiramente perseguidos com a perda dos direitos políticos, a detenção arbitrária, a prisão e o exílio; onde a tortura, os assassinatos, os desaparecimentos forçados e a eliminação física foram sistematicamente utilizados contra aqueles que se insurgiam. Neste cinquentenário, a Comissão Nacional da Verdade quer homenagear essas vítimas e reafirmar sua determinação em ajudar a construir um Brasil cada vez mais democrático e mais justo.
A Comissão Nacional da Verdade nasceu com o objetivo de examinar e esclarecer as graves violações de direitos humanos praticadas no período. (1) Baseia-se na convicção de que a verdade histórica tem como objetivo não somente a afirmação da justiça, mas também preparar a reconciliação nacional, como vem assentado no seu mandato legal. Esteia-se na certeza de que o esclarecimento circunstanciado dos casos de tortura, morte, desaparecimento forçado, ocultação de cadáver e sua autoria, a identificação de locais, instituições e circunstâncias relacionados à prática de violações graves de direitos humanos, constituem dever elementar da solidariedade social e imperativo da decência, reclamados pela dignidade de nosso país. (2) Não deveria haver brasileiro algum ou instituição nacional alguma que deles se furtassem sob qualquer pretexto.
No ano passado comemoramos os vinte cinco anos da promulgação da Constituição Brasileira de 1988. Oitenta e dois milhões de brasileiros nasceram sob o regime democrático. Mais de oitenta por cento da população brasileira nasceu depois do golpe militar. O Brasil que se confronta com o trágico legado de 64, passados cinquenta anos, é literalmente outro. O país se renovou, progrediu e busca redefinir o seu lugar no concerto das nações democráticas. Não há por que hesitar em incorporar a esta marcha para adiante a revisão de seu passado e a reparação das injustiças cometidas. (3) Pensamos ser este o desejo da maioria. É certamente o sentido do trabalho da Comissão Nacional da Verdade.
O trecho (2) Não deveria haver brasileiro algum ou instituição nacional alguma que deles se furtassem sob qualquer pretexto, destacado na Nota Pública, revela que a Comissão Nacional da Verdade:
 

Provas

Questão presente nas seguintes provas
1490256 Ano: 2014
Disciplina: Engenharia Mecânica
Banca: UFRJ
Orgão: UFRJ
Assinale a alternativa sobre o que ocorre com a umidade relativa de 1.000 m³/hr de ar com temperatura de bulbo seco 35ºC e temperatura de bulbo úmido 25ºC quando se reduz em 10ºC a temperatura de bulbo seco.
Enunciado 1490256-1
Questão Anulada

Provas

Questão presente nas seguintes provas
Leia o texto a seguir e responda a questão:
(1) Neste ano de (2) MEMÓRIA e VERDADE na UFRJ, vale lembrar o calendário de 2008 da universidade com o qual a instituição (3) rememorou, passados 40 anos, os (4) marcantes acontecimentos de 1968 – na comunidade acadêmica, no país e no mundo – e fez o seu tributo “aos que, (5) generosamente, doaram a imaginação de sua juventude às lutas por liberdade.”
Enunciado 1490177-1
Quanto à sua classe gramatical, as palavras numeradas e sublinhadas no texto são, respectivamente:
Questão Anulada

Provas

Questão presente nas seguintes provas
1487856 Ano: 2014
Disciplina: Engenharia Mecânica
Banca: UFRJ
Orgão: UFRJ
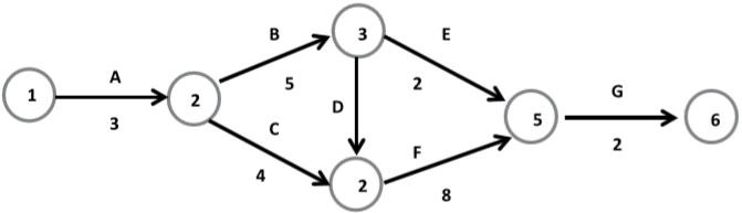
Na programação das intervenções nos equipamentos, para manutenção corretiva ou preventiva, é fundamental o planejamento do tempo de sua execução. A confecção do Diagrama de Rede objetiva a identificação do sequenciamento das atividades, o prazo de execução dos serviços, as atividades críticas e as folgas das atividades para o reparo do equipamento. De acordo com o diagrama de rede a seguir, o prazo de duração do serviço é de: Obs: as durações apresentadas no diagrama estão em dias.
Enunciado 1487856-1
Questão Anulada

Provas

Questão presente nas seguintes provas
Concebido para valorizar a função pública e atrair competências para a administração, o instituto da pensão vem sofrendo o questionamento crescente de setores da sociedade. Tudo agravado, registre-se, pelas efetivas deficiências de parte dos serviços prestados pelo Estado, mas também pela desacreditação deliberada e sistemática do público e da política.
Enunciado 1490268-1
Assinale, adiante, a afirmação INCORRETA quanto ao estabelecido no Título VI da Lei Federal n° 8.112, de 1990, sobre a pensão.
Questão Anulada e Desatualizada

Provas

Questão presente nas seguintes provas