Foram encontradas 50 questões.
A Polarimetria é uma técnica muito utilizada nos laboratórios de Química para caracterizar substâncias. Sobre esta técnica podemos afirmar que:
Provas
Sobre o modelo atômico de Bohr, um estudante de Química fez as seguintes afirmações:
I - O elétron pode acessar qualquer nível energético.
II - O modelo atômico de Bohr é uma combinação de suposições clássicas e quânticas.
III - Em uma determinada órbita estacionária, o elétron não absorve nem emite energia.
IV - O elétron em um átomo movimenta-se em uma órbita circular ao redor do núcleo.
V - O modelo pode ser generalizado para sistemas contendo dois ou mais elétrons.
Em relação às afirmações do estudante, podemos afirmar que:
Provas
Considere as três reações abaixo:
(1) Ca(s) + ½O2(g) !$ \leftrightarrows !$ CaO(s)
(2) C12H22O11(s) + 12O2(g) → 12CO2(g) + 11H2O(l)
(3) N2(g) + 3H2(g) → 2NH3(g)
Sobre os valores esperados da variação da entropia padrão das reações (!$ \Delta_r !$rS°), podemos dizer que:
Provas
Os óxidos anfóteros possuem a capacidade de reagir com ácidos e bases. Assinale a alternativa que corresponde a um óxido anfótero.
Provas
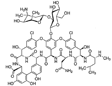
A Vancomicina é um fármaco muito utilizado no tratamento de infecções causadas por bactérias. A Figura abaixo mostra a sua estrutura química.

Considere as seguintes afirmações sobre a Vancomicina:
I - Possui carbono com hibridização sp.
II – É capaz de formar ligações de hidrogênio com a água.
III - É capaz de reagir com o hidróxido de sódio.
IV - Possui os grupos funcionais amida e éster.
Assinale a alternativa que apresenta as afirmações corretas.
Provas
A lavagem de precipitados é um procedimento frequentemente utilizado no laboratório de Química. Assinale a alternativa correta sobre o solvente de lavagem.
Provas
Um estudante de Química preparou três sistemas conforme a Figura abaixo e os aqueceu até alcançar a temperatura de ebulição. Considerando que T1, T2 e T3 são as temperaturas de ebulição dos sistemas preparados pelo estudante, podemos concluir que:

Provas
Marque a alternativa que mostra as fórmulas químicas corretas para os compostos de coordenação (1) dissulfetotioaurato(III) de potássio, (2) tetraaminbis(hidrogenossulfito) rutênio(II) e (3) cloreto de tris(etilenodiamino) cobalto(III).
Provas
O ácido tânico é uma substância com propriedades antioxidante e anti-inflamatória muito utilizado na indústria farmacêutica. A Figura abaixo mostra a sua estrutura química. Marque a alternativa que mostra o valor correto da massa molar do ácido tânico.

Provas
O viscosímetro capilar é um instrumento muito utilizado para medir a viscosidade de líquidos. Os nomes dos viscosímetros 1, 2 e 3 são, respectivamente:

Provas
Caderno Container