Foram encontradas 50 questões.
Um guia de ondas retangular preenchido por ar temdimensões a = 3 cm e b = cm (guia quadrado). Considere c = 3 . 108 m/s e √2 ≅ 1,4. Para modos TE/TM em guia retangular, a frequência de corte é dada por:
Para a frequência de 6 GHz, propagam somente os modos:
Para a frequência de 6 GHz, propagam somente os modos:
Provas
Questão presente nas seguintes provas
Uma linha de transmissão com perdas tem impedância
característica Z0 = 50 Ω (assuma real) e constante de propagação
γ = α + jβ, com α = ln(2)/20 Np/m e β = π/20 rad/m. A carga é ZL
= 100 Ω e está em z = 0. O ponto de entrada da linha está em z
= −ℓ, com ℓ = 10 m. O coefi ciente de refl exão no ponto de entrada
Γin é:
Provas
Questão presente nas seguintes provas
Uma linha de transmissão sem perdas possui impedância
característica Z0 = 50 Ω e comprimento elétrico ℓ = λ/8 na
frequência de operação. A carga conectada ao fi nal da linha é
puramente resistiva, com ZL
= 100 Ω. A impedância de entrada Zin
vista no início da linha é:
Provas
Questão presente nas seguintes provas
Uma onda plana harmônica uniforme propaga-se no vácuo,
na direção
, com campo elétrico dado por:
em que E0 é a amplitude. Considerando as equações de Maxwell no vácuo, n0 é a impedância intrínseca do vácuo e a onda é transversal eletromagnética, o campo magnético H(z, t) associado é:
em que E0 é a amplitude. Considerando as equações de Maxwell no vácuo, n0 é a impedância intrínseca do vácuo e a onda é transversal eletromagnética, o campo magnético H(z, t) associado é:
Provas
Questão presente nas seguintes provas
Considere o sinal periódico x(t), de período T0 = 1 ms, definido por:

e estendido periodicamente com período T0 . A série de Fourier trigonométrica de x(t) é dada por:
![]()
O coeficiente a1 (associado ao termo
é:
Provas
Questão presente nas seguintes provas
Considere que a transformada de Laplace de y(t) é dada por:
![]()
A função y(t), no domínio do tempo, é:
Provas
Questão presente nas seguintes provas
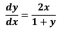
Considere a equação diferencial ordinária, para x > 0:
![]()
com condição inicial y(1) = 1 . Nesse caso, a solução y(x), para x > 0, é:
Provas
Questão presente nas seguintes provas
Um circuito sequencial síncrono possui dois flip-flops do tipo
D, com saídas de estado Q1
e Q0 . As equações de próximo estado
são dadas por:
D1 = Q0 D = X ⊕ Q1
Considere que o estado inicial é Q1 e Q0 = 00 e que a entrada X assume a sequência 1, 0, 1, 1 em quatro pulsos de clock consecutivos. A sequência de estados Q1Q0 após cada pulso de clock (do 1º ao 4º) é:
D1 = Q0 D = X ⊕ Q1
Considere que o estado inicial é Q1 e Q0 = 00 e que a entrada X assume a sequência 1, 0, 1, 1 em quatro pulsos de clock consecutivos. A sequência de estados Q1Q0 após cada pulso de clock (do 1º ao 4º) é:
Provas
Questão presente nas seguintes provas
Considere o trecho de código em Verilog a seguir:
always @(*) begin
if (en)
y = a;
else if (sel)
y = b; end
A inferência de hardware mais adequada para a descrição acima é:
Provas
Questão presente nas seguintes provas
A função lógica F(A,B,C,D), em que A é o bit mais significativo,
é definida por mintermos e termos indiferentes (don’t cares) da
seguinte forma:
F = 1 para m(0, 2, 5, 7, 8, 10, 13, 15)
F = X para d(1, 9)
A expressão mínima de F na forma de soma de produtos (SOP), considerando os termos indiferentes para simplifi cação, é:
F = 1 para m(0, 2, 5, 7, 8, 10, 13, 15)
F = X para d(1, 9)
A expressão mínima de F na forma de soma de produtos (SOP), considerando os termos indiferentes para simplifi cação, é:
Provas
Questão presente nas seguintes provas
Cadernos
Caderno Container