Foram encontradas 50 questões.
A fundição é um dos processos de fabricação mais antigos
no campo de trabalho dos metais. Tal processo consiste em:
Provas
Questão presente nas seguintes provas
A figura abaixo mostra o diagrama T-T-T para o aço eutetóide.

Observa-se que, partindo da temperatura austenítica, se resfriarmos o aço rapidamente dentro da zona de transformação de fase até a uma temperatura compreendida entre 500ºC e 300ºC e, depois disso, mantivermos o resfriamento lento, a microestrutura obtida será a:
Provas
Questão presente nas seguintes provas
Os testes de tração são amplamente utilizados na
engenharia para obtenção de uma variedade de informações
sobre o comportamento mecânico de um material. Tais testes
consistem em submeter um corpo de prova a uma força:
Provas
Questão presente nas seguintes provas
A teoria da energia de distorção máxima afi rma que o
escoamento em um material dúctil ocorre quando a energia
de distorção por unidade de volume do material é igual:
Provas
Questão presente nas seguintes provas
Um eixo maciço gira a uma velocidade angular de 120 rpm
e é utilizado para transmitir uma potência de 2500 W de um motor
ao qual está fi xado. O torque atuante na rotação do eixo é:
Provas
Questão presente nas seguintes provas
Em um determinado estado plano de tensões, as tensões
normais nos eixos x e y são, respectivamente, 60 MPa e 44 MPa,
e a tensão cisalhante é de 6 MPa. A tensão de cisalhamento
máxima associada a esse estado é de:
Provas
Questão presente nas seguintes provas
O sistema massa-mola mostrado na figura abaixo sofre
ação de uma força F = 250 N, comprimindo uma mola de massa
desprezível e constante elástica k = 4 N/mm.
Desprezando-se quaisquer forças de atrito, a deformação da mola, quando ela está totalmente comprimida, é de:
Desprezando-se quaisquer forças de atrito, a deformação da mola, quando ela está totalmente comprimida, é de:
Provas
Questão presente nas seguintes provas
Uma barra rígida de massa m e comprimento l possui uma
partícula de massa 3m e raio desprezível fixada em uma de suas
extremidades. A barra pode girar livremente em torno do ponto O.
Se a barra for liberada a partir do repouso na posição horizontal,
mostrada na fi gura abaixo, sua velocidade angular, no instante em
que atinge a posição vertical, é:


Provas
Questão presente nas seguintes provas
Uma força F = 400 N atua sobre uma das extremidades
de uma barra rígida, de massa desprezível, que tem sua
outra extremidade fi xada em um bloco P de 60 kg em contato
com a parede, conforme mostrado na fi gura a seguir.
A inclinação θ em relação à horizontal é de 20°, e os coefi cientes de atrito estático e dinâmico entre a parede e o bloco são, respectivamente, 0,6 e 0,5. O módulo da força de atrito que a parede exerce sobre o bloco é:
(Dados: g = 10 m/s2 , sen 20° = 0,342 e cos 20° = 0,94)
A inclinação θ em relação à horizontal é de 20°, e os coefi cientes de atrito estático e dinâmico entre a parede e o bloco são, respectivamente, 0,6 e 0,5. O módulo da força de atrito que a parede exerce sobre o bloco é:
(Dados: g = 10 m/s2 , sen 20° = 0,342 e cos 20° = 0,94)
Provas
Questão presente nas seguintes provas
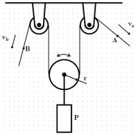
O bloco P está sendo puxado preso a uma polia de raio r que gira conforme o arranjo mostrado na fi gura abaixo.

Se os pontos A e B têm velocidades de va e vb , respectivamente, a velocidade do bloco P é:
Provas
Questão presente nas seguintes provas
Cadernos
Caderno Container