Foram encontradas 30 questões.
Em relação à metodologia de desenvolvimento Rational Unified Process (RUP), é correto afirmar que:
I O RUP define um framework de processos para o desenvolvimento de software de larga escala, que oferece flexibilidade para ser customizado de acordo com a realidade de um dado projeto.
II O RUP motiva o desenvolvimento de um sistema através de iterações, embora tal prática não seja obrigatória nem essencial para a execução do processo.
III Práticas de metodologias ágeis, tais como Extreme Programming, podem ser adotadas em um processo que segue as diretrizes do RUP.
IV Cada iteração do RUP focaliza uma das seguintes atividades técnicas do desenvolvimento: especificação de requisitos, análise e projeto do sistema, implementação ou testes.
A opção em que todas as afirmativas são verdadeiras é
Provas
Uma imagem pode ser considerada como um sinal bidimensional. Uma operação que pode ser utilizada para realçar as informações contidas em uma imagem com baixo contraste é
Provas
Sobre a metodologia de desenvolvimento Extreme Programming (XP), é correto afirmar que
Provas
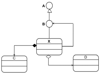
A Figura abaixo representa um diagrama de classes em UML:

Em relação ao diagrama, é correto afirmar que a
Provas
- Transmissão de DadosMeios de TransmissãoMeios Transmissão sem Fio
- Transmissão de DadosPadrões IEEE 802IEEE 802.11: Wireless LAN
Melhorias foram incorporadas ao padrão 802.11n para possibilitar um aumento na capacidade de transmissão em relação ao padrão 802.11g. Uma melhoria que não foi implementada no 802.11n é
Provas
- Modelo TCP/IPModelo TCP/IP: Camada de Transporte
- TCP/IPTCP: Transmission Control Protocol
- TCP/IPUDP: User Datagram Protocol
O UDP é um protocolo que não é adequado para
Provas
Em grandes organizações, pessoas com diferentes papéis dentro da organização, podem estar envolvidas com um banco de dados. Cada uma dessas pessoas, dependendo de seu papel, pode exercer atividades diferentes sobre o banco de dados. Neste contexto, é correto afirmar que
Provas
Considere o seguinte modelo relacional para a questão a seguir. Este modelo descreve um banco de dados de uma biblioteca que é usado para manter o controle de livros, usuários e empréstimos de livros. As restrições de integridade referencial são mostradas como arcos direcionados.

O modelo relacional tem como base teórica a álgebra relacional e o cálculo relacional. Entre as operações da álgebra relacional, pode-se citar:
- Sc(R): Seleção de tuplas da relação R que satisfazem a condição C
- Pa(R): Projeção dos atributos das tuplas da relação R
- T ← R: Nomeação de relação
- S * R: Junção Natural
Em relação aos comandos SQL utilizados para a criação de tabelas referentes ao modelo relacional da Figura, afirma-se:
I CREATE TABLE COPIAS_LIVRO(
idLivro INT NOT NULL, idFilial INT NOT NULL, No_De_Copias INT NOT NULL,
PRIMARY KEY(idLivro),
FOREIGN KEY(idLivro) REFERENCES LIVRO(idLivro),
FOREIGN KEY(idFilial) REFERENCES FILIAL_BIBLIOTECA(idFilial)
);
II CREATE TABLE LIVROS_EMPRESTADOS(
idLivro INT NOT NULL, idFilial INT NOT NULL, NoCartao INT NOT NULL,
DataSaida DATE, DataDevolucao DATE,
PRIMARY KEY(idLivro, idFilial, NoCartao),
FOREIGN KEY(idLivro) REFERENCES LIVRO(idLivro),
FOREIGN KEY(idFilial) REFERENCES FILIAL_BIBLIOTECA(idFilial),
FOREIGN KEY(NoCartao) REFERENCES USUARIO(NoCartao)
);
III CREATE TABLE AUTORES_LIVRO(
idLivro INT NOT NULL, NomeAutor VARCHAR(50) NOT NULL,
PRIMARY KEY(idLivro, NomeAutor)
);
IV CREATE TABLE FILIAL_BIBLIOTECA(
idFilial INT NOT NULL, NomeFilial VARCHAR(50) NOT NULL, Endereco VARCHAR(50),
PRIMARY KEY(idFilial) );
V CREATE TABLE LIVRO(
idLivro INT NOT NULL, Titulo VARCHAR(30), NomeEditora VARCHAR(30) NOT NULL,
PRIMARY KEY(idLivro),
FOREIGN KEY(NomeEditora) REFERENCES EDITORA(Nome)
);
A opção que contém todas as alternativas corretas é
Provas
Considere as afirmativas relacionadas à linguagem Java:
I As palavras-chaves this e super da linguagem Java representam, respectivamente, uma referência para a instância corrente e uma referência para a super classe da instância corrente.
II Objetos da classe String podem ser livremente modificados, após a sua criação.
III Cada classe em Java pode implementar várias interfaces.
IV Cada tipo primitivo de Java possui uma classe equivalente, que pode ser usada para facilitar a sua manipulação como um objeto.
A opção em que todas as afirmativas são verdadeiras é
Provas
- Conceitos e FundamentosFunções de um SGBD
- Conceitos e FundamentosPapéis e Responsabilidades do DBA
- AdministraçãoBackup e Recuperação
- Banco de Dados RelacionalRestrições de Integridade
Considere as afirmativas relacionadas às vantagens da utilização de um Sistema Gerenciador de Banco de Dados (SGBD):
I Um SGBD provê facilidades de backup e recuperação.
II Um SGBD permite a definição e imposição de restrições de integridade no banco de dados.
III Um SGBD permite que o administrador do Banco de Dados defina e imponha padrões nos dados de uma organização.
IV O uso de um SGBD impede a redundância de dados.
V Um SGBD oferece a capacidade de definição de regras de inferência e dedução.
A opção que contém todas as alternativas que são verdadeiras é
Provas
Caderno Container