Foram encontradas 60 questões.
A tabela seguinte fornece os intervalos de pH de viragem de cor correspondentes a alguns indicadores.
| INDICADOR | INTERVALO DE pH DE VIRAGEM |
| I. azul de bromotimol | amarelo 6,0 a 7,6 azul |
| II. vermelho de metila | vermelho 4,4 a 6,2 amarelo alaranjado |
| III. timolftaleína | incolor 9,3 a 10,5 azul |
| IV. azul de bromofenol | amarelo 3,0 a 4,6 violeta alaranjado |
| V. alaranjado de metila | vermelho 3,1 a 4,4 alaranjado |
Suponha que três copos contenham água mineral. Cada um contém água de uma fonte diferente das demais. Uma das águas apresenta pH = 4,5, outra pH = 7,0 e a outra pH = 10,0. Assinale a alternativa que apresenta o indicador mais apropriado da tabela para identificar qual a água contida em cada copo.
Provas
No plasma sanguíneo de uma pessoa sadia estão presentes os seguintes íons e respectivas concentrações: Na+ = 1,4 x 10-1 mol.L-1, K+ = 5,0 x 10-3 mol.L-3, Ca2+ = 2,5 x 10-3 mol.L-1 e Mg2+ = 1,5 x 10-3 mol.L-1.
Com base nestas informações é possível afirmar que:
Provas
Em laboratórios didáticos a produção de resíduos químicos é normalmente grande devido ao elevado número de alunos que os utilizam.
Sobre os resíduos produzidos em aula, assinale a alternativa cuja afirmação é correta.
Provas
Em determinações quantitativas volumétricas são utilizadas soluções de concentração exatamente conhecidas, denominadas solução-padrão. Escolha a alternativa que apresenta corretamente as características de um reagente (padrão primário) utilizado para preparar uma solução-padrão.
Provas
Os dados da tabela apresentam a composição elementar média de um humano adulto com 70 kg, considerando apenas os cinco elementos que estão presentes com mais de 1 kg.
| ELEMENTO | MASSA MOLAR (g.mol-1) | g/70 kg de massa corpórea |
| O | 16 | 43500 |
| C | 12 | 12600 |
| H | 1 | 7000 |
| N | 14 | 2100 |
| Ca | 40 | 1050 |
Com base nos dados apresentados, pode-se concluir que:
Provas
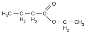
A substância, cuja fórmula estrutural é apresentada abaixo, possui aroma de abacaxi e é preparada industrialmente a partir da reação entre um álcool e um ácido orgânico.

Assinale a alternativa que apresenta corretamente a função orgânica a qual pertence esse aromatizante e o nome da substância, respectivamente.
Provas
A água régia, que é uma mistura capaz de atacar o ouro, consiste numa solução formada de três partes de ácido clorídrico e uma parte de ácido nítrico. As fórmulas das substâncias destacadas são, respectivamente:
Provas
Uma das maneiras de reduzir custos em um laboratório consiste em comprar substâncias contendo impurezas e purificá-las por meio de técnicas simples. O sulfato de cobre, largamente utilizado na agricultura, pode ser facilmente encontrado em casas agrícolas a preço bastante acessível. No entanto, o sal adquirido desta forma apresenta algumas impurezas, como a sílica, por exemplo. Considerando a solubilidade de sulfato de cobre em função da temperatura, conforme tabela abaixo, qual é a alternativa que apresenta etapas de uma técnica simples de purificação deste sal.
| SAL | Temperatura (ºC) | |||||
| 0 | 20 | 40 | 60 | 80 | 100 | |
| CuSO4 | 12,9 | - | 22,8 | 28,1 | 34,9 | 42,4 |
Provas
Em um laboratório foi determinada a concentração de íons H3O+ em amostra de ovos de galinha. O valor médio encontrado corresponde a 0,000.000.01 mol.L-1. Com base nesta concentração, assinale a alternativa que apresenta o pH médio das amostras de ovos.
Provas
Atualmente a indústria produz uma grande variedade de pilhas e baterias, muitas delas impossíveis de serem produzidas sem as pesquisas realizadas pelos eletroquímicos nas últimas décadas. Para todas as reações que ocorrem nestas pilhas e baterias utilizam-se o valor de E0 do eletrodo-padrão de hidrogênio, que convencionalmente foi adotado como sendo 0 V (zero volt). Com base neste referencial, foram determinados os valores de E0 a 25 0C para as semicelas a seguir:
| Semi-reação | E0 (V) | Observação |
| 2 H+ (aq) + 2é !$ \rightleftarrows !$ H2 ( g ) | 0,00 | Eletrodo-padrão |
| Cu2+ (aq) + 2 é !$ \rightleftarrows !$ Cu0(s) | +0,34 | Em relação ao eletrodo-padrão |
| Zn2+ (aq) + 2 é !$ \rightleftarrows !$ Zn0(s) | -0,76 | Em relação ao eletrodo-padrão |
| Ag+ (aq) + é !$ \rightleftarrows !$ Ag0(s) | +0,80 | Em relação ao eletrodo-padrão |
Caso o valor de E0 da semi-reação de redução da prata tivesse sido adotado como padrão, seria correto afirmar que:
Provas
Caderno Container