Foram encontradas 60 questões.
- Banco de Dados RelacionalRestrições de IntegridadeIntegridade Referencial
- Banco de Dados RelacionalTipos de ChavesChave Primária
- SQLDDLCREATE TABLE
Assinale a alternativa correta sobre o trecho de código SQL abaixo:
CREATE TABLE IF NOT EXISTS pedido (
codigo int(6) unsigned NOT NULL,
clcodigo int(6) unsigned NOT NULL,
PRIMARY KEY (codigo),
INDEX idxclcodigo (clcodigo),
FOREIGN KEY fkclcodigo (clcodigo)
REFERENCES cliente (codigo)
)
Provas
Transação é uma unidade lógica de trabalho sobre um banco de dados, formada por uma sequência de operações que devem ser executadas integralmente para garantir a consistência e a integridade dos dados. Neste contexto, assinale a alternativa correta que define as propriedades ACID.
Provas
- Conceitos e FundamentosConceitos Fundamentais de Banco de Dados
- Banco de Dados Orientado a Objetos
- NoSQLFundamentos de NoSQL
Um Sistema Gerenciador de Bancos de Dados (SGBD) possui um conjunto de funções para o gerenciamento de operações de inserção, atualização e consulta de dados. A forma como os dados são organizados e as operações de manipulação aplicáveis são definidas pelo modelo de dados adotado. Neste contexto, assinale a alternativa incorreta:
Provas
- Fundamentos de ProgramaçãoAlgoritmosAnálise de Execução de Algoritmos
- Fundamentos de ProgramaçãoEstruturas de Repetição
- Fundamentos de ProgramaçãoEstruturas de DadosEstrutura de Dados: Array
- Fundamentos de ProgramaçãoLógica de Programação
Supondo que o vetor L utilizado no algoritmo abaixo armazene os números 1, 2, 3, 4, 5, 6, 7, 8, 9 e 10, assinale a alternativa correta que contém o retorno produzido após a sua execução.
Função (L[0...n])
c1 ← n
enquanto c1 > 0 faça
L[n - c1] ← c1 * 10
c1 ← c1 - 1
fim-enquanto
c2 ← n
soma ← 0
enquanto c2 > 0 faça
soma ← soma + L[c2]
c2 ← c2 - 2
fim-enquanto
retorna soma
Provas
Analise os trechos de código abaixo e assinale a alternativa correta:

Provas
Aplicações e serviços web reúnem diversos protocolos e formatos de dados como WSDL, JSON, XML, HTML, HTTP e SAOP para possibilitar a interoperabilidade de sistemas heterogêneos. Assinale a alternativa correta considerando as seguintes definições:
I - Objeto JavaScript que permite a troca de dados com o servidor de forma assíncrona;
II - Linguagem de marcação voltada à apresentação de documentos estruturados utilizando rótulos específicos;
III - Linguagem de meta-marcação com rótulos extensíveis para descrição de dados estruturados;
IV - Subconjunto da notação de objetos JavaScript.
Provas
- Compilação e Interpretação de CódigoCompilação
- Fundamentos de ProgramaçãoAlocação de Memória
- Fundamentos de ProgramaçãoEstruturas de DadosEstrutura de Dados: Lista
Considere as afirmações sobre listas a seguir e assinale a alternativa correta.
I - O sucessor lógico de um elemento ocupa posição física consecutiva na memória;
II - Os elementos logicamente consecutivos não implicam elementos consecutivos na memória;
III - A alocação de memória é realizada em tempo de compilação;
IV - A alocação de memória é realizada em tempo de execução.
Provas
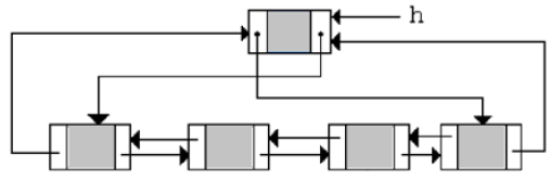
Assinale a alternativa que descreva corretamente o seguinte diagrama:

Provas
Uma matriz pode ser vista como um arranjo lógico de elementos disposto em uma lista de dados. Neste contexto, considerando a matriz abaixo contendo 3 linhas por 5 colunas representada em uma lista de 15 elementos, assinale a alternativa correta:

Provas
- Fundamentos de ProgramaçãoAlgoritmosConstrução de Algoritmos
- Fundamentos de ProgramaçãoFunções, Métodos e Procedimentos
- Fundamentos de ProgramaçãoLógica de Programação
- Fundamentos de ProgramaçãoRecursividade
algoritmo abaixo explora a recursão para a solução de um problema. Assinale a alternativa que contenha o resultado correto considerando como valor inicial de V o número 5.
Calcula (V)
se V = 0 então
retorna 1;
senão
retorna (V * Calcula(V - 1))
fim-se
Provas
Caderno Container