Foram encontradas 40 questões.
- Conceitos e FundamentosConceitos Fundamentais de Banco de Dados
- Conceitos e FundamentosFunções de um SGBD
A respeito dos Sistemas de Gerenciamento de Banco de Dados (SGBD), todas as alternativas estão corretas, EXCETO
Provas
- Arquitetura e Design de SoftwareArquitetura de Sistemas de Informação
- Arquitetura e Design de SoftwarePadrões de Arquitetura
- Interoperabilidade e IntegraçãoIntegração de Sistemas e MiddlewareMessaging
Todas as alternativas apresentam modelos de aplicações da computação distribuída, EXCETO
Provas
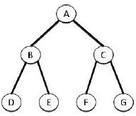
Considere a seguinte árvore binária:

Considerando um percurso em pré-ordem, da esquerda para direita, a saída gerada é
Provas
A capacidade de pessoas acessarem de outros computadores, de forma autorizada, recursos localizados em seu computador, como arquivos e impressoras, é denominada
Provas
Assinale a alternativa com uma afirmativa CORRETA sobre a estrutura de dados Lista.
Provas
Todas as alternativas apresentam boas práticas de gerenciamento de projetos de software, EXCETO
Provas
Conectar um fone de ouvido a um computador sem a utilização de fios, trazendo-o para dentro do alcance da rede, é um exemplo de uso do
Provas
- Fundamentos de Sistemas OperacionaisBuffering
- Fundamentos de Sistemas OperacionaisChamadas de Sistema (System Calls)
- Fundamentos de Sistemas OperacionaisSubsistema de Entrada e Saída
Preencha as lacunas nas afirmativas sobre a manipulação de arquivos.
Toda a informação contida no buffer é atualizada no disco e a área do buffer utilizada na memória é liberada na operação . Na operação , o sistema operacional encontra o arquivo com o nome dado e prepara o buffer na memória.
A sequência que completa corretamente as lacunas é
Provas
Considere o seguinte fragmento de código Java:
int numero;
Character tres=new Character (’3');
Qual o comando que converte corretamente tres em numérico?
Provas
O ciclo de vida de uma thread Java começa com a criação do objeto da classe Thread (posição 1 na figura) e continua com a execução de métodos que fazem a passagem de estados, conforme mostra a figura.

Na figura os métodos 2, 3 e 5 são, respectivamente,
Provas
Caderno Container