Magna Concursos

Foram encontradas 30 questões.

Observe as três classes a seguir, escritas na linguagem de programação Java. 

Enunciado 3653104-1

Assinale a alternativa que identifica o conteúdo que será exibido no console durante a execução do programa definido por essas classes.
 

Provas

Questão presente nas seguintes provas
Observe as três classes a seguir, escritas na linguagem de programação Java. 

Enunciado 3653103-1

Assinale a alternativa que identifica o conteúdo que será exibido no console durante a execução do programa definido por essas classes.
 

Provas

Questão presente nas seguintes provas
Observe o código fonte a seguir, escrito na linguagem de programação C.

Enunciado 3653102-1

Assinale a alternativa que apresenta o valor que será exibido na saída padrão pelo printf executado na função main.
 

Provas

Questão presente nas seguintes provas
Uma arquitetura de software é uma descrição de como um sistema de software é organizado. As propriedades de um sistema, como desempenho, proteção e disponibilidade, são influenciadas pela arquitetura adotada.

Com relação a esse tema, assinale V (verdadeiro) ou F (falso) em cada afirmativa a seguir.

( ) As arquiteturas podem ser documentadas a partir da visão conceitual, lógica, de processo, de desenvolvimento e física.
( ) São exemplos de padrões arquiteturais: Modelo-Visão-Controlador, Repositório, Cliente-Servidor e Duto e Filtro.
( ) A arquitetura do software deve ser pensada na etapa de projeto, após a discussão de todos os requisitos, não sendo adequado discutir questões arquiteturais com os stakeholders do sistema.

A sequência correta é
 

Provas

Questão presente nas seguintes provas
Observe os códigos fonte a seguir, escritos na linguagem de programação C.

Enunciado 3653100-1
Enunciado 3653100-2

Dois programas foram gerados a partir desses códigos fonte. A execução de cada um deles implica a entrada de um valor inteiro informado pelo usuário, conforme scanf da linha 4 de cada código fonte, e a exibição de um valor inteiro na saída padrão, conforme printf da linha 13 de cada código fonte.

Cada programa foi executado uma vez para teste, e ambos apresentaram o mesmo valor na saída padrão. O valor informado na entrada de dados também foi idêntico para os dois programas e está dentre as alternativas listadas a seguir.

Assinale a alternativa que apresenta o valor que foi informado para os dois programas para que eles tenham apresentado o mesmo valor na saída.
 

Provas

Questão presente nas seguintes provas
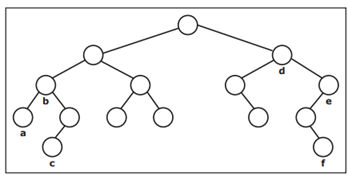
A figura representa a estrutura padrão de uma Árvore Binária de Busca. Considere que a árvore é organizada de acordo com valores numéricos armazenados nos nós, mas omitidos na figura. Há um valor por nó, sem repetição de valor.

Enunciado 3653099-1

As letras colocadas abaixo da representação de alguns nós têm propósito exclusivo de identificar esses nós, não apresentando qualquer relação com os valores armazenados na árvore.

Como a árvore possui 15 valores distintos, armazenados em 15 nós, é possível definir que o segundo maior valor da árvore é aquele maior do que 13 dos outros valores armazenados e menor do que apenas um. De forma semelhante, o segundo menor valor da árvore é aquele menor do que 13 dos outros valores e maior do que apenas um. 

Assinale a alternativa que apresenta as letras que identificam os nós que armazenam, respectivamente, o segundo menor e o segundo maior valores dentre os 15 valores armazenados nos nós da árvore.
 

Provas

Questão presente nas seguintes provas
Considere um grafo dirigido G=(N, A) em que o conjunto N é composto por seis nós, numerados de 1 a 6. O conjunto de arcos A é o apresentado a seguir na forma de lista de adjacência:

1 → 2, 4, 5
2 → 3
3 → 2
4 → 2, 3
5 → 4
6 → 1, 5

Tendo em vista a estrutura desse grafo, considere as afirmativas a seguir.

I → Trata-se de um grafo conexo, porém não fortemente conexo.
II → A sequência de nós 6, 1, 5, 2, 4, 3 representa uma possível ordem de visita aos nós para um percurso em amplitude.
III → A sequência de nós 6, 1, 2, 4, 3, 5 representa uma possível ordem de visita aos nós para um percurso em profundidade.
IV → Existe um caminho ligando os nós 6 e 2 composto por uma sequência de 5 arcos distintos entre si.

Estão corretas
 

Provas

Questão presente nas seguintes provas
Segundo Pressman (2011), na obra “Engenharia de Software”, a refatoração é uma das técnicas propostas por Kent Beck no método ágil Extreme Programming (XP).

Tendo em vista a implementação da prática de refatoração em projetos de software, assinale V (verdadeiro) ou F (falso) em cada afirmativa a seguir.

( ) A refatoração é o processo de mudar um sistema de software de tal forma que não altere o comportamento externo do código, embora melhore a estrutura interna.
( ) A refatoração consiste em examinar o código para detectar e corrigir redundância, elementos de projeto não utilizados, algoritmos ineficientes ou desnecessários, estruturas de dados inapropriadas, erros no código, entre outros.
( ) O desenvolvimento iterativo e incremental aumenta a importância da refatoração, considerando que os requisitos são priorizados e refinados ao longo de várias iterações de desenvolvimento.

A sequência correta é
 

Provas

Questão presente nas seguintes provas
Assinale a alternativa que indica o padrão que implementa uma estrutura de inversão de controle chamada de “o princípio de Hollywood”, que diz: “não nos chame, nós chamaremos você”.
 

Provas

Questão presente nas seguintes provas

“O Desenvolvimento Dirigido a Testes (TDD) foi inicialmente proposto por Kent Beck como parte integrante do método ágil Extreme Programming (XP). Martin Fowler destaca o TDD como uma prática central na metodologia. Essa prática mantém a solução mais facilmente modificável durante o desenvolvimento, permitindo revisões constantes e viabilizando a estratégia adaptativa como um todo.”

Fonte: PRIKLADNICKI, R.; WILLI, R.; MILANI, F. Métodos Ágeis para Desenvolvimento de Software. Porto Alegre: Bookman, 2014. (Adaptado)

Tendo em vista o TDD, assinale V (verdadeiro) ou F (falso) em cada afirmativa a seguir.

( ) Um teste automatizado consiste em um caso em que se exercita uma determinada situação para a qual os resultados esperados são descritos de forma clara.

( ) TDD é uma abordagem de desenvolvimento na qual os testes são escritos pelo cliente.

( ) Testes Unitários são incorporados em um programa que pode ser testado cada vez que uma alteração é feita.

A sequência correta é

 

Provas

Questão presente nas seguintes provas