Foram encontradas 40 questões.
O esquema relacional a seguir servirá de contexto para a questão.
Ele descreve um banco de dados usado por uma loja que presta serviços para donos de animais de estimação.

Observações:
• A coluna DATA contém datas no formato AAAAMMDD.
• A coluna SEQ é usada para representar a sequência de serviços executados em um animal em uma mesma data.
• A coluna NOME_PROF é usada para representar o nome do profissional que realizou determinado serviço.
• A coluna DESCRICAO é usada para representar o nome de um serviço prestado pela loja.
Provas
O esquema relacional a seguir servirá de contexto para a questão.
Ele descreve um banco de dados usado por uma loja que presta serviços para donos de animais de estimação.

Observações:
• A coluna DATA contém datas no formato AAAAMMDD.
• A coluna SEQ é usada para representar a sequência de serviços executados em um animal em uma mesma data.
• A coluna NOME_PROF é usada para representar o nome do profissional que realizou determinado serviço.
• A coluna DESCRICAO é usada para representar o nome de um serviço prestado pela loja.
Provas
Provas
Provas
Em relação à configuração de um roteador sem fio, atribua V (verdadeiro) ou F (falso) às afirmativas a seguir:
( ) Os endereços 192.168.1.0 e 192.168.1.1 costumam ser utilizados por diversos fabricantes para administração/configuração do dispositivo.
( ) O endereço IP inicial atribuído aos dispositivos conectados ao roteador pode ser modificado em suas configurações.
( ) Se o dispositivo for configurado de modo que o WiFi opere somente no modo b, a capacidade máxima de transmissão será de 54 Mbps.
( ) Se o sinal de WiFi do dispositivo tiver a sua encriptação mudada de WPA para WEP, a rede sem fio se tornará mais segura.
( ) Um Wireless Access Point é um dispositivo que permite a um aparelho sem fio conectar-se a uma rede cabeada.
Assinale a alternativa que contém, de cima para baixo, a sequência CORRETA.
Provas
Em uma academia de ginástica, os alunos de 15 a 45 anos chegam em intervalos de tempo segundo uma distribuição exponencial com média de 20 minutos. Ao se dirigirem para a sala de musculação, todos precisam fazer o aquecimento, que consiste em um tempo de caminhada que segue uma distribuição normal de média 15 minutos e desvio padrão de 4. A caminhada é feita em uma das 15 esteiras disponíveis. Caso todas as esteiras estejam ocupadas, o aluno vai para o ginásio e caminha durante esse mesmo tempo. O ginásio tem capacidade suficiente para qualquer quantidade de alunos da academia.
Depois do aquecimento, os alunos vão diretamente para os aparelhos de musculação, que também têm disponibilidade suficiente. A musculação leva tempo seguindo uma distribuição normal de média 35 minutos e desvio padrão de 4 minutos. Depois disso, o aluno vai embora.
Provas
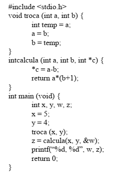
Considere o trecho de código em C abaixo:

O que será exibido no console, quando a função main for executada?
Provas
Aponte, dentre as alternativas, os resultados da resolução da seguinte expressão lógica escrita na linguagem C, para os valores de A, B e C, definidos nos cenários I, II e III:

Provas
Sobre protótipos de produtos, leia as afirmações abaixo e responda.
I - Protótipos físicos, bem como protótipos virtuais, respondem questões relativas aos aspectos qualitativos humanos.
II - Os protótipos evoluem juntamente com o processo de design.
III - Protótipos físicos facilitam a colaboração, discussão, reflexão e comunicação entre a equipe de projeto.
É CORRETO afirmar que:
Provas
Provas
Caderno Container