Foram encontradas 50 questões.
Sobre a integração entre ferramentas de produtividade on-line do Google, assinale a afirmativa INCORRETA:
(Para fins de padronização, considere o acesso à ferramenta via Web, por meio de um navegador.)
Provas
Questão presente nas seguintes provas
Considere o seguinte trecho de planilha do LibreOffice Calc:

Esse trecho representa um pequeno relatório de vendas de produtos de uma empresa. Tal empresa tem um programa de descontos que, mensalmente, é aplicado para os clientes que são cadastrados no programa e compram mais de 50 (cinquenta) itens de uma seleção de produtos.
Ao elaborar o relatório, o funcionário que o confeccionou inseriu uma fórmula na célula D2 e usou a alça de preenchimento para propagar os resultados até a célula D6.
Assinale a alternativa que apresenta CORRETAMENTE a fórmula que, se utilizada na célula D2, preencheria os valores das células da coluna D, após o uso da alça de preenchimento:

Esse trecho representa um pequeno relatório de vendas de produtos de uma empresa. Tal empresa tem um programa de descontos que, mensalmente, é aplicado para os clientes que são cadastrados no programa e compram mais de 50 (cinquenta) itens de uma seleção de produtos.
Ao elaborar o relatório, o funcionário que o confeccionou inseriu uma fórmula na célula D2 e usou a alça de preenchimento para propagar os resultados até a célula D6.
Assinale a alternativa que apresenta CORRETAMENTE a fórmula que, se utilizada na célula D2, preencheria os valores das células da coluna D, após o uso da alça de preenchimento:
Provas
Questão presente nas seguintes provas
Sobre a ferramenta on-line Google Agenda, assinale a afirmativa INCORRETA:
(Para fins de padronização, considere o acesso à ferramenta via Web, por meio de um navegador.)
Provas
Questão presente nas seguintes provas
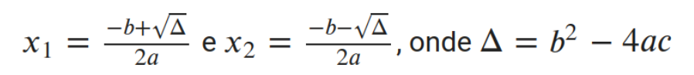
Responda a QUESTÃO, a respeito das fórmulas e do trecho de planilha apresentados a seguir:

As fórmulas apresentadas refletem os conhecidos passos para se encontrar as soluções de uma equação do
segundo grau, ou fórmulas de Bhaskara. Considere que se deseja determinar os valores x1 e x2 a partir de
dados (a, b e c), preenchidos em células de uma planilha, que tem um trecho conforme ilustrado a seguir.

Os valores de a, b e c (nas células A2, B2 e C2, respectivamente) são de preenchimento manual, enquanto
os valores delta, x1 e x2 (nas células D2, E2 e F2, respectivamente) são de preenchimento automático,
calculados a partir dos três primeiros e conforme as fórmulas acima.
Provas
Questão presente nas seguintes provas
Responda a QUESTÃO, a respeito das fórmulas e do trecho de planilha apresentados a seguir:

As fórmulas apresentadas refletem os conhecidos passos para se encontrar as soluções de uma equação do
segundo grau, ou fórmulas de Bhaskara. Considere que se deseja determinar os valores x1 e x2 a partir de
dados (a, b e c), preenchidos em células de uma planilha, que tem um trecho conforme ilustrado a seguir.

Os valores de a, b e c (nas células A2, B2 e C2, respectivamente) são de preenchimento manual, enquanto
os valores delta, x1 e x2 (nas células D2, E2 e F2, respectivamente) são de preenchimento automático,
calculados a partir dos três primeiros e conforme as fórmulas acima.
Provas
Questão presente nas seguintes provas
Considere as afirmativas abaixo a respeito da geração de gráficos no LibreOffice Calc, atribuindo V para as
verdadeiras e F para as falsas.
( ) Gráficos de pizza são adequados para indicar proporções em relação a um valor total.
( ) O gráfico de bolhas é uma variação de um gráfico de rede no qual os pontos de dados são substituídos por bolhas e uma dimensão adicional dos dados é representada no tamanho dessas bolhas.
( ) As linhas de tendência nos gráficos são usadas para exibir graficamente tendências em dados e analisar problemas de previsão. Essas linhas também podem auxiliar na identificação de valores discrepantes dessas tendências.
( ) Durante a criação de gráficos pelo Assistente de Gráficos, não é possível editar o intervalo de dados já selecionado previamente na planilha.
( ) A série de dados inserida em uma planilha que será exibida em um gráfico precisa estar disposta em uma linha ou em uma coluna e a primeira linha e/ou coluna podem ou não ser rótulos do gráfico.
( ) Na etapa de elementos do gráfico no Assistente de Gráficos, é impossível deslocar ou remover a legenda do gráfico, sendo esta, uma parte fundamental da representação visual.
A sequência CORRETA é:
( ) Gráficos de pizza são adequados para indicar proporções em relação a um valor total.
( ) O gráfico de bolhas é uma variação de um gráfico de rede no qual os pontos de dados são substituídos por bolhas e uma dimensão adicional dos dados é representada no tamanho dessas bolhas.
( ) As linhas de tendência nos gráficos são usadas para exibir graficamente tendências em dados e analisar problemas de previsão. Essas linhas também podem auxiliar na identificação de valores discrepantes dessas tendências.
( ) Durante a criação de gráficos pelo Assistente de Gráficos, não é possível editar o intervalo de dados já selecionado previamente na planilha.
( ) A série de dados inserida em uma planilha que será exibida em um gráfico precisa estar disposta em uma linha ou em uma coluna e a primeira linha e/ou coluna podem ou não ser rótulos do gráfico.
( ) Na etapa de elementos do gráfico no Assistente de Gráficos, é impossível deslocar ou remover a legenda do gráfico, sendo esta, uma parte fundamental da representação visual.
A sequência CORRETA é:
Provas
Questão presente nas seguintes provas
Considere uma instalação padrão do sistema operacional Ubuntu, em um computador de mesa (desktop)
conectado a uma rede local e à Internet.
Em relação à instalação de programas nesse computador, assinale a afirmativa INCORRETA:
Em relação à instalação de programas nesse computador, assinale a afirmativa INCORRETA:
Provas
Questão presente nas seguintes provas
Dentre as facilidades de operações com arquivos, o sistema operacional Ubuntu possui uma ferramenta para
permitir realizar uma cópia de segurança (backup) e posterior restauração do conteúdo do disco rígido, em
caso de eventuais defeitos no computador.
Considere as afirmativas a seguir relacionadas à ferramenta de backup do Ubuntu, atribuindo V para a(s) verdadeira(s) e F para a(s) falsa(s).
( ) A ferramenta de backup, por padrão, não oferece a possibilidade de efetuar a cópia de segurança dos programas instalados.
( ) A ferramenta backup deve ser usada para restaurar uma pasta de um usuário, com o computador desconectado da rede local.
( ) Na restauração dos dados do backup, é possível selecionar uma pasta específica dentre as que foram copiadas, com os dados restaurados, necessariamente, para a mesma pasta original.
( ) O destino preferencial de uma cópia de segurança deve ser o próprio disco rígido, em uma partição diferente daquela onde estão os dados copiados.
Assinale a sequência CORRETA:
Considere as afirmativas a seguir relacionadas à ferramenta de backup do Ubuntu, atribuindo V para a(s) verdadeira(s) e F para a(s) falsa(s).
( ) A ferramenta de backup, por padrão, não oferece a possibilidade de efetuar a cópia de segurança dos programas instalados.
( ) A ferramenta backup deve ser usada para restaurar uma pasta de um usuário, com o computador desconectado da rede local.
( ) Na restauração dos dados do backup, é possível selecionar uma pasta específica dentre as que foram copiadas, com os dados restaurados, necessariamente, para a mesma pasta original.
( ) O destino preferencial de uma cópia de segurança deve ser o próprio disco rígido, em uma partição diferente daquela onde estão os dados copiados.
Assinale a sequência CORRETA:
Provas
Questão presente nas seguintes provas
- LinuxPermissões de Arquivos e Diretórios no Linux
- LinuxPrivilégios de root no Linux
- LinuxUsuários e Grupos no Linux
Os primeiros sistemas operacionais tinham apenas interface de texto, em vez das interfaces gráficas atuais.
A despeito disso, os sistemas operacionais mantêm um aplicativo chamado genericamente de Terminal nos
sistemas Linux, que emulam a interface de texto antiga, na qual os comandos precisam ser digitados. A
principal razão disso é que algumas tarefas podem ser mais facilmente realizadas pelo terminal.
Considere as afirmativas relacionadas ao uso do aplicativo Terminal no Ubuntu, por um usuário administrador (superusuário):
I. É possível executar um comando restrito aos administradores digitando no terminal o comando, precedido de “sudo” e seguido da tecla Enter, depois fornecendo a senha de administrador.
II. De posse da senha do usuário carlos é possível assumir a identidade de carlos digitando no terminal o comando su carlos e depois a senha do usuário carlos, para acessar todas as pastas de carlos.
III. É possível disparar uma instância do gerenciador (navegador) de arquivos como superusuário para ter acesso a todas as pastas do sistema operacional.
Está CORRETO o que se afirma em:
Considere as afirmativas relacionadas ao uso do aplicativo Terminal no Ubuntu, por um usuário administrador (superusuário):
I. É possível executar um comando restrito aos administradores digitando no terminal o comando, precedido de “sudo” e seguido da tecla Enter, depois fornecendo a senha de administrador.
II. De posse da senha do usuário carlos é possível assumir a identidade de carlos digitando no terminal o comando su carlos e depois a senha do usuário carlos, para acessar todas as pastas de carlos.
III. É possível disparar uma instância do gerenciador (navegador) de arquivos como superusuário para ter acesso a todas as pastas do sistema operacional.
Está CORRETO o que se afirma em:
Provas
Questão presente nas seguintes provas
O gerenciador (ou navegador) de arquivos Nautilus, no sistema operacional Ubuntu, é a ferramenta que
permite visualizar e realizar as principais operações com arquivos e pastas em um computador conectado à
uma rede local.
Considerando o gerenciador de arquivos Nautilus, assinale a afirmativa INCORRETA:
Considerando o gerenciador de arquivos Nautilus, assinale a afirmativa INCORRETA:
Provas
Questão presente nas seguintes provas
Cadernos
Caderno Container