Foram encontradas 130 questões.

Disponível em: <http://cleofas.com.br/wp-content/uploads/2010/11/Escravid%C3%A3o.jpg>. Acesso em: 20 out. 2014.
A teoria filosófica de Sartre, baseada nas ideias de Aristóteles, ressalta que a liberdade
Provas
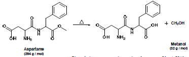
O aspartame é um dos aditivos alimentares mais utilizados para substituir o açúcar comum; contudo, quando aquecido, decompõe-se, levando a formação de metanol, como ilustrado pela reação abaixo.

Disponível em: <www.anvisa.gov.br>. Acesso em: 24 out. 2014.
Sabendo que uma lata de 350 mL de refrigerante apresenta a concentração de 0,5 mg/mL em aspartame, indique quantas latas de refrigerante, aproximadamente, deveriam ser usadas para se obter uma massa de metanol igual a 190 mg, após a decomposição do aspartame.
Provas

Disponível em: <http://www.clickideia.com.br>. Acesso em: 07 nov. 2014.
Considerando que a figura acima corresponde a uma visão da Terra vista de uma aeronave que sobrevoa o polo Norte e que o triângulo ao lado é uma figura fixa, é correto afirmar que
Provas
Cotidiano
Todo dia ela faz tudo sempre igual
Me sacode às seis horas da manhã
Me sorri um sorriso pontual
E me beija com a boca de hortelã
Todo dia ela diz que é pra eu me cuidar
E essas coisas que diz toda mulher
Diz que está me esperando pro jantar
E me beija com a boca de café
Todo dia eu só penso em poder parar
Meio dia eu só penso em dizer não
Depois penso na vida pra levar
E me calo com a boca de feijão
[...]
Disponível em: <http://letras.mus.br/chico-buarque/82001/>. Acesso em: 23 out. 2014.
A letra da canção de Chico Buarque de Holanda apresenta elementos que tematizam relacionamento. Nesse gênero textual, o autor também
Provas
O [liberalismo] afirma, convictamente, que o mundo seria melhor – mais justo, racional, eficiente e produtivo – se nele reinasse, soberana, a livre iniciativa, se as atitudes econômicas dos indivíduos (e suas relações) não fossem limitadas por regulamentos e monopólios, estatais ou corporativos.
MORAES, Reginaldo C. Corrêa de. Liberalismo clássico:
notas sobre sua história e alguns de seus argumentos. Campinas, Textos Didáticos, n. 40, p. 1-42, jan. 2000 (adaptado).
As principais críticas ao liberalismo apontam
Provas
AS MONTANHAS SAGRADAS
A vida nos vales e picos nevados dos Andes peruanos é
quase a mesma do tempo dos incas. Mas tudo pode mudar
com o aquecimento global
Passo lento e respiração profunda. Em meio ao ar rarefeito e à cegueira branca de uma nevasca, surge Nicolasa. A menina caminha firme atrás da vaca desgarrada do rebanho. Acredita que os apus, ou os espíritos das montanhas, encontram-se ao seu lado e vão ajudá-la a recuperar o animal perdido. Estamos a 5 mil metros de altitude, a caminho de Ausangate, um dos picos nevados da Cordilheira Vilcanota, uma das zonas mais inóspitas dos Andes peruanos. Justamente por isso, é um lugar onde as comunidades rurais experimentam poucas mudanças noscostumes ancestrais. As formações gigantes, imponentes e disformes, respeitosamente chamadas de apus, ocupam o topo do panteão das divindades incas. Aqui, são as montanhas que mandam, logo descubro, enquanto o ar penosamente enche meus pulmões.
[...]
COELHO, Maria Emília. As montanhas sagradas. Horizonte Geográfico. São Paulo, Horizonte, n. 122, p. 46-53, abr. 2009.
Contextualizando a frase que dá início ao texto: “Passo lento e respiração profunda”, ela faz referência
Provas

Disponível em: <http://www.blueplanetbiomes.org/taiga.htm>. Acesso em: 28 out. 2014.
A área destacada no mapa indica a ocorrência de uma das vegetações mais usadas pela indústria moderna para a produção de celulose. A fitofisionomia dessa vegetação está representada em:
Provas

Disponível em: <http://www.wantchinatimes.com/news-subclasscnt. aspx?id=20110915000002&cid=1501>. Acesso em: 23 out 2014.
Rivais pelo controle da China, Mao Tsé Tung e Chiang Kai-shek aparecem juntos na foto. A imagem representa
Provas
Essa atividade agrícola é responsável por garantir a segurança alimentar do País, gerando os principais produtos da cesta básica consumida pelos brasileiros. Ela emprega quase 75% da mão de obra no campo e é responsável pela segurança alimentar do país, produzindo 70% do feijão, 87% da mandioca, 58% do leite e 46% do milho, entre outros produtos consumidos pela população.
CASSEL, Guilherme. Um novo modelo de desenvolvimento rural. Folha de S. Paulo. São Paulo, 11 out. 2009.
O texto se refere à agricultura
Provas
Um tanque cilíndrico de 8 m de diâmetro e 1,40 m de altura foi substituído por outro, também cilíndrico, de 5 m de diâmetro e 1,60 m de altura. Nessas condições, a variação de volume devido à troca dos tanques foi de, aproximadamente,
Provas
Caderno Container