Foram encontradas 90 questões.
A chamada “química verde” utiliza métodos e técnicas próprios para reduzir a utilização e/ou a geração de substâncias nocivas ao ser humano e ao ambiente.
Dela faz parte o desenvolvimento de
Provas
Questão presente nas seguintes provas
Artistas, costureiras, soldadores e desenhistas manejam ferro, madeira, isopor e tecido. No galpão do boi Garantido, o do coração vermelho, todos se esmeram (nunca usam o verbo caprichar) para preparar um espetáculo que supere o do rival. No ano passado, foi o Caprichoso, o da estrela azul, o ganhador da disputa de bois-bumbá do famoso Festival de Parintins, que todo final de junho atrai cerca de cem mil pessoas para a doce ilha situada na margem direita do rio Amazonas. No curral da torcida caprichosa, “alegoristas”, passistas e percussionistas preferem não dizer que uma nova vitória está garantida. Dizem, sim, com todas as letras, que está assegurada.
Fernanda Pompeu. Caprichada e garantida.
De acordo com o texto, a escolha das palavras “esmeram” e “assegurada” é motivada pelo
Provas
Questão presente nas seguintes provas
Eu amo a rua. Esse sentimento de natureza toda íntima não vos seria revelado por mim se não julgasse, e razões não tivesse para julgar, que este amor assim absoluto e assim exagerado é partilhado por todos vós.
Nós somos irmãos, nós nos sentimos parecidos e iguais; nas cidades, nas aldeias, nos povoados, não porque soframos, com a dor e os desprazeres, a lei e a polícia, mas porque nos une, nivela e agremia o amor da rua. É este mesmo o sentimento imperturbável e indissolúvel, o único que, como a própria vida, resiste às idades e às épocas. Tudo se transforma, tudo varia – o amor, o ódio, o egoísmo. Hoje é mais amargo o riso, mais dolorosa a ironia. Os séculos passam, deslizam, levando as coisas fúteis e os acontecimentos notáveis. Só persiste e fica, legado das gerações cada vez maior, o amor da rua.
João do Rio. A alma encantadora das ruas.
Prefixos que têm o mesmo sentido ocorrem nas seguintes palavras do texto:
Provas
Questão presente nas seguintes provas
As previsões catastrofistas dos “neomalthusianos” sobre o crescimento demográfico e sua pressão sobre os recursos naturais não se confirmaram, notadamente, porque
Provas
Questão presente nas seguintes provas
Uma das características atuais do processo de globalização é a exigência, cada vez maior, de fluidez de informações e mercadorias, ou, em essência, do próprio capital. Tal exigência tem conduzido os países à reestruturação de seus sistemas de circulação. Nesse sentido, no Estado brasileiro, nos últimos anos,
Provas
Questão presente nas seguintes provas
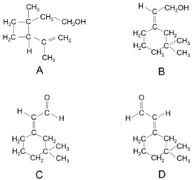
Uma espécie de besouro, cujo nome científico é Anthonomus grandis, destrói plantações de algodão, do qual se alimenta. Seu organismo transforma alguns componentes do algodão em uma mistura de quatro compostos, A, B, C e D, cuja função é atrair outros besouros da mesma espécie:

Considere as seguintes afirmações sobre esses compostos:
I. Dois são álcoois isoméricos e os outros dois são aldeídos isoméricos.
II. A quantidade de água produzida na combustão total de um mol de B é igual àquela produzida na combustão total de um mol de D.
III. Apenas as moléculas do composto A contêm átomos de carbono assimétricos.
É correto somente o que se afirma em
Provas
Questão presente nas seguintes provas
“Uma casa dividida contra si mesma não subsistirá.
Acredito que esse governo, meio escravista e meio livre, não poderá durar para sempre. Não espero que a União se dissolva; não espero que a casa caia. Mas espero que deixe de ser dividida. Ela se transformará só numa coisa ou só na outra.”
Abraham Lincoln, em 1858.
Esse texto expressa a
Provas
Questão presente nas seguintes provas
Em uma academia de musculação, uma barra B, com 2,0 m de comprimento e massa de 10 kg, está apoiada de forma simétrica em dois suportes, S1 e S2, separados por uma distância de 1,0 m, como indicado na figura. Para a realização de exercícios, vários discos, de diferentes massas M, podem ser colocados em encaixes, E, com seus centros a 0,10 m de cada extremidade da barra. O primeiro disco deve ser escolhido com cuidado, para não desequilibrar a barra. Dentre os discos disponíveis, cujas massas estão indicadas abaixo, aquele de maior massa e que pode ser colocado em um dos encaixes, sem desequilibrar a barra, é o disco de

Provas
Questão presente nas seguintes provas
Ao longo da evolução das plantas, os gametas
Provas
Questão presente nas seguintes provas
O número real a é o menor dentre os valores de x que satisfazem a equação !$ 2log_2 \,\, (1 \, + \, \sqrt{2} \, x) \, - \, log_2( \sqrt{2} \, x) \, = \, 3 !$.
Então, !$ log_2 \begin {pmatrix} { \large 2a \, + \, 4 \over 3} \end {pmatrix} !$ é igual a
Provas
Questão presente nas seguintes provas
Cadernos
Caderno Container