Magna Concursos

Foram encontradas 90 questões.

816245 Ano: 2008
Disciplina: Inglês (Língua Inglesa)
Banca: FUVEST
Orgão: USP
Provas:
Two in every three people on the planet–some 4 billion in total–are “excluded from the rule of law.” In many cases, this begins with the lack of official recognition of their birth: around 40% of the developing world’s five-yearold children are not registered as even existing.
Later, people will find that the home they live in, the land they farm, or the business that they start, is not protected by legally enforceable property rights. Even in the rare cases when they can afford to go to court, the service is poor. India, for example, has only 11 judges for every 1million people.
These alarming statistics are contained in a report from a commission on the legal empowerment of the poor, released on June 3rd at the United Nations. It argues that not only are such statistics evidence of grave injustice, they also reflect one of the main reasons why so much of humanity remains mired in poverty. Because they are outside the rule of law, the vast majority of poor people are obliged to work (if they work at all) in the informal economy, which is less productive than the formal, legal part of the economy.
The Economist, June 7th 2008.
De acordo com o texto,
 

Provas

Questão presente nas seguintes provas
816124 Ano: 2008
Disciplina: História
Banca: FUVEST
Orgão: USP
Provas:
“Da armada dependem as colônias, das colônias depende o comércio, do comércio, a capacidade de um Estado manter exércitos numerosos, aumentar a sua população e tornar possíveis as mais gloriosas e úteis empresas.”
Essa afirmação do duque de Choiseul (1719-1785) expressa bem a natureza e o caráter do
 

Provas

Questão presente nas seguintes provas
755039 Ano: 2008
Disciplina: Física
Banca: FUVEST
Orgão: USP
Provas:
O que consome mais energia ao longo de um mês, uma residência ou um carro? Suponha que o consumo mensal de energia elétrica residencial de uma família, ER, seja 300 kWh (300 quilowatts - hora) e que, nesse período, o carro da família tenha consumido uma energia EC, fornecida por 180 litros de gasolina. Assim, a razão EC/ER será, aproximadamente,
 

Provas

Questão presente nas seguintes provas
754758 Ano: 2008
Disciplina: Física
Banca: FUVEST
Orgão: USP
Provas:
Na maior parte das residências que dispõem de sistemas de TV a cabo, o aparelho que decodifica o sinal permanece ligado sem interrupção, operando com uma potência aproximada de 6 W, mesmo quando a TV não está ligada. O consumo de energia do decodificador, durante um mês (30 dias), seria equivalente ao de uma lâmpada de 60 W que permanecesse ligada, sem interrupção, durante
 

Provas

Questão presente nas seguintes provas
754547 Ano: 2008
Disciplina: Química
Banca: FUVEST
Orgão: USP
Provas:
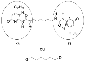
Nos polímeros supramoleculares, as cadeias poliméricas são formadas por monômeros que se ligam, uns aos outros, apenas por ligações de hidrogênio e não por ligações covalentes como nos polímeros convencionais. Alguns polímeros supramoleculares apresentam a propriedade de, caso sejam cortados em duas partes, a peça original poder ser reconstruída, aproximando e pressionando as duas partes. Nessa operação, as ligações de hidrogênio que haviam sido rompidas voltam a ser formadas, “cicatrizando” o corte.
Um exemplo de monômero, muito utilizado para produzir polímeros supramoleculares, é
enunciado 2230597-1
No polímero supramolecular,
enunciado 2230597-2
cada grupo G está unido a outro grupo G, adequadamente orientado, por x ligações de hidrogênio, em que x é, no máximo,
 

Provas

Questão presente nas seguintes provas
633793 Ano: 2008
Disciplina: História
Banca: FUVEST
Orgão: USP
Provas:
Em três momentos importantes da história européia – Revoluções de 1830-1848, Primeira Guerra Mundial de 1914-1918, e movimentos fascista e nazista das décadas de 1920-1930 – nota-se a presença de uma força ideológica comum a todos esses acontecimentos.
Trata-se do
 

Provas

Questão presente nas seguintes provas
575199 Ano: 2008
Disciplina: Literatura Brasileira e Estrangeira
Banca: FUVEST
Orgão: USP
Provas:
Em um poema escrito em louvor de Iracema, Manuel Bandeira afirma que, ao compor esse livro, Alencar
“[...] escreveu o que é mais poema
Que romance, e poema menos
Que um mito, melhor que Vênus.”
Segundo Bandeira, em Iracema,
 

Provas

Questão presente nas seguintes provas
528662 Ano: 2008
Disciplina: Português
Banca: FUVEST
Orgão: USP
Provas:
Eu amo a rua. Esse sentimento de natureza toda íntima não vos seria revelado por mim se não julgasse, e razões não tivesse para julgar, que este amor assim absoluto e assim exagerado é partilhado por todos vós.
Nós somos irmãos, nós nos sentimos parecidos e iguais; nas cidades, nas aldeias, nos povoados, não porque soframos, com a dor e os desprazeres, a lei e a polícia, mas porque nos une, nivela e agremia o amor da rua. É este mesmo o sentimento imperturbável e indissolúvel, o único que, como a própria vida, resiste às idades e às épocas. Tudo se transforma, tudo varia – o amor, o ódio, o egoísmo. Hoje é mais amargo o riso, mais dolorosa a ironia. Os séculos passam, deslizam, levando as coisas fúteis e os acontecimentos notáveis. Só persiste e fica, legado das gerações cada vez maior, o amor da rua.
João do Rio. A alma encantadora das ruas.
No texto, observa-se que o narrador se
 

Provas

Questão presente nas seguintes provas
315815 Ano: 2008
Disciplina: Química
Banca: FUVEST
Orgão: USP
Provas:
Michael Faraday (1791–1867), em fragmento de A história química de uma vela, assim descreve uma substância gasosa que preparou diante do público que assistia a sua conferência: “Podemos experimentar do jeito que quisermos, mas ela não pegará fogo, não deixará o pavio queimar e extinguirá a combustão de tudo. Não há nada que queime nela, em circunstâncias comuns. Não tem cheiro, pouco se dissolve na água, não forma solução aquosa ácida nem alcalina, e é tão indiferente a todos os órgãos do corpo humano quanto uma coisa pode ser.
Então, diriam os senhores: ‘Ela não é nada, não é digna de atenção da química. O que faz no ar?’”
A substância gasosa descrita por Faraday é
 

Provas

Questão presente nas seguintes provas
210903 Ano: 2008
Disciplina: Biologia
Banca: FUVEST
Orgão: USP
Provas:
Enzimas digestivas produzidas no estômago e no pâncreas foram isoladas dos respectivos sucos e usadas no preparo de um experimento, conforme mostra o quadro abaixo:
Tubo 1 Tubo 2 Tubo 3 Tubo 4
Arroz, clara de
ovo, óleo de
milho e água
Arroz, clara de
ovo, óleo de
milho e água
Arroz, clara de
ovo, óleo de
milho e água
Arroz, clara de
ovo, óleo de
milho e água
Extrato
enzimático do
estômago
Extrato
enzimático do
estômago
Extrato
enzimático do
pâncreas
Extrato
enzimático do
pâncreas
pH = 2 pH = 8 pH = 2 pH = 8
Decorrido certo tempo, o conteúdo dos tubos foi testado para a presença de dissacarídeos, peptídeos, ácidos graxos e glicerol. Esses quatro tipos de nutrientes devem estar
 

Provas

Questão presente nas seguintes provas