Foram encontradas 89 questões.
Já na segurança da calçada, e passando por um trecho em obras que atravanca nossos passos, lanço à queima-roupa:
— Você conhece alguma cidade mais feia do que São Paulo?
— Agora você me pegou, retruca, rindo. Hã, deixa eu ver... Lembro-me de La Paz, a capital da Bolívia, que me pareceu bem feia. Dizem que Bogotá é muito feiosa também, mas não a conheço. Bem, São Paulo, no geral, é feia, mas as pessoas têm uma disposição para o trabalho aqui, uma vibração empreendedora, que dá uma feição muito particular à cidade. Acordar cedo em São Paulo e ver as pessoas saindo para trabalhar é algo que me toca. Acho emocionante ver a garra dessa gente.
R. Moraes e R. Linsker. Estrangeiros em casa: uma caminhada pela selva urbana de São Paulo. National Geographic Brasil. Adaptado.
Os interlocutores do diálogo contido no texto compartilham o pressuposto de que
Provas
Questão presente nas seguintes provas
Quando os Holandeses passaram à ofensiva na sua Guerra dos Oitenta Anos pela independência contra a Espanha, no fim do século XVI, foi contra as possessões coloniais portuguesas, mais do que contra as espanholas, que os seus ataques mais fortes e mais persistentes se dirigiram. Uma vez que as possessões ibéricas estavam espalhadas por todo o mundo, a luta subsequente foi travada em quatro continentes e em sete mares e esta luta seiscentista merece muito mais ser chamada a Primeira Guerra Mundial do que o holocausto de 1914-1918, a que geralmente se atribui essa honra duvidosa. Como é evidente, as baixas provocadas pelo conflito ibero-holandês foram em muito menor escala, mas a população mundial era muito menor nessa altura e a luta indubitavelmente mundial.
Charles Boxer, O império marítimo português, 1415-1825. Lisboa: Edições 70, s.d., p.115.
Podem-se citar, como episódios centrais dessa “luta seiscentista”, a
Provas
Questão presente nas seguintes provas
A passagem do modo de vida caçador-coletor para um modo de vida mais sedentário aconteceu há cerca de 12 mil anos e foi causada pela domesticação de animais e de plantas. Com base nessa informação, é correto afirmar que
Provas
Questão presente nas seguintes provas
No losango ABCD de lado 1, representado na figura, tem-se que M é o ponto médio de !$ \overline {AB} !$, N é o ponto médio de !$ \overline {BC} !$ e !$ MN= \sqrt{14}/4 !$. Então, DM é igual a
Provas
Questão presente nas seguintes provas
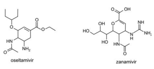
Em 2009, o mundo enfrentou uma epidemia, causada pelo vírus A(H1N1), que ficou conhecida como gripe suína. A descoberta do mecanismo de ação desse vírus permitiu o desenvolvimento de dois medicamentos para combater a infecção, por ele causada, e que continuam necessários, apesar de já existir e estar sendo aplicada a vacina contra esse vírus. As fórmulas estruturais dos princípios ativos desses medicamentos são:
Examinando-se as fórmulas desses compostos, verifica se que dois dos grupos funcionais que estão presentes no oseltamivir estão presentes também no zanamivir. Esses grupos são característicos de
Provas
Questão presente nas seguintes provas
Europe’s economic distress could be China’s opportunity. In the past, the country has proved a hesitant investor in the continent, but figures show a 30 percent surge in new Chinese projects in Europe last year. And these days Europe looks ever more tempting. Bargains proliferate as the yuan strengthens and cashstrapped governments forget concerns over foreign ownership of key assets. On a recent visit to Greece, Vice Premier Zhang Dejiang sealed 14 deals, reportedly the largest Chinese investment package in Europe, covering a range of sectors from construction to telecoms.
Meanwhile, Irish authorities have opened talks with Chinese promoters to develop a 240-hectare industrial park in central Ireland where Chinese manufacturers could operate inside the European Union free of quotas and costly tariffs. In time, that could bring 10,000 new jobs. “It’s good business,” says Vanessa Rossi, an authority on China at the Royal Institute of International Affairs in London. “There’s big mutual benefit here.” Europe needs money; China needs markets.
Newsweek, July 19, 2010, p. 6. Adaptado.
Afirma-se, no texto, que a Irlanda
Provas
Questão presente nas seguintes provas
Um sólido branco apresenta as seguintes propriedades:
I. É solúvel em água.
II. Sua solução aquosa é condutora de corrente elétrica.
III. Quando puro, o sólido não conduz corrente elétrica.
IV. Quando fundido, o líquido puro resultante não conduz corrente elétrica.
Considerando essas informações, o sólido em questão pode ser
Provas
Questão presente nas seguintes provas
The perils of counterfeit drugs go way beyond being ripped off by dubious online pill-pushers. The World Health Organization (WHO) estimates that 50 per cent of all medicines sold online are worthless counterfeits. In developing nations fake pills may account for as much as 30 per cent of all drugs on the market. Even in the developed world, 1 per cent of medicines bought over the counter are fakes.
Some key events illustrate the risk these pose. In Nigeria, 2500 children died in 1995 after receiving fake meningitis vaccines. In Haiti, Bangladesh and Nigeria, around 400 people died in 1998 after being given paracetamol that had been prepared with diethylene glycol – a solvent used in wallpaper stripper. The fakers are nothing if not market-aware: in the face of an outbreak of H5N1 bird flu in 2005, they began offering fake Tamiflu.
What can be done? The WHO coordinates an umbrella body called the International Medical Products Anti-Counterfeiting Taskforce (IMPACT), an industry initiative that issues alerts when it finds anomalies in the medicine supply chain. Such events include sudden drops in wholesale prices, hinting at fakes coming onto the market, or the mimicking of anti-counterfeiting features on packaging, such as holograms or barcodes, says Nimo Ahmed, head of intelligence at the UK’s Medicine and Healthcare Products Regulatory Agency.
New Scientist, 10 July 2010, p. 18. Adaptado.
O texto informa que os falsificadores
Provas
Questão presente nas seguintes provas
Uma geladeira é vendida em "n" parcelas iguais, sem juros. Caso se queira adquirir o produto, pagando se 3 ou 5 parcelas a menos, ainda sem juros, o valor de cada parcela deve ser acrescido de R$ 60,00 ou de R$ 125,00, respectivamente. Com base nessas informações, conclui-se que o valor de "n" é igual a
Provas
Questão presente nas seguintes provas
Usando um sistema formado por uma corda e uma roldana, um homem levanta uma caixa de massa m, aplicando na corda uma força F que forma um ângulo com a direção vertical, como mostra a figura. O trabalho realizado pela resultante das forças que atuam na caixa peso e força da corda , quando o centro de massa da caixa é elevado, com velocidade constante v, desde a altura ya até a altura yb, é:

Provas
Questão presente nas seguintes provas
Cadernos
Caderno Container