Foram encontradas 90 questões.
A Estação Espacial Internacional orbita a Terra em uma altitude h. A aceleração da gravidade terrestre dentro dessa espaçonave é
Provas
Questão presente nas seguintes provas
Chumaços de algodão embebidos em uma solução de vermelho de cresol, de cor rosa, foram colocados em três recipientes de vidro, I, II e III, idênticos e transparentes. Em I e II, havia plantas e, em III, rãs. Os recipientes foram vedados e iluminados durante um mesmo intervalo de tempo com luz de mesma intensidade, sendo que I e III foram iluminados com luz de frequência igual a 7,0 x 10 14 Hz, e II, com luz de frequência igual a 5,0 x 10 14 Hz. O gráfico mostra a taxa de fotossíntese das clorofilas a e b em função do comprimento de onda da radiação eletromagnética. Considere que, para essas plantas, o ponto de compensação fótica corresponde a 20% do percentual de absorção.
É correto afirmar que, após o período de iluminação, as cores dos chumaços de algodão embebidos em solução de cresol dos recipientes I, II e III ficaram, respectivamente,
Provas
Questão presente nas seguintes provas
TEXTO PARA A QUESTÃO
Omolu espalhara a bexiga na cidade. Era uma vingança contra a cidade dos ricos. Mas os ricos tinham a vacina, que sabia Omolu de vacinas? Era um pobre deus das florestas d’África. Um deus dos negros pobres. Que podia saber de vacinas? Então a bexiga desceu e assolou o povo de Omolu. Tudo que Omolu pôde fazer foi transformar a bexiga de negra em alastrim, bexiga branca e tola. Assim mesmo morrera negro, morrera pobre. Mas Omolu dizia que não fora o alastrim que matara. Fora o lazareto*. Omolu só queria com o alastrim marcar seus filhinhos negros. O lazareto é que os matava. Mas as macumbas pediam que ele levasse a bexiga da cidade, levasse para os ricos latifundiários do sertão. Eles tinham dinheiro, léguas e léguas de terra, mas não sabiam tampouco da vacina. O Omolu diz que vai pro sertão. E os negros, os ogãs, as filhas e pais de santo cantam:
Ele é mesmo nosso pai
e é quem pode nos ajudar...
e é quem pode nos ajudar...
Omolu promete ir. Mas para que seus filhos negros não o esqueçam avisa no seu cântico de despedida:
Ora, adeus, ó meus filhinhos,
Qu’eu vou e torno a vortá...
Qu’eu vou e torno a vortá...
E numa noite que os atabaques batiam nas macumbas, numa noite de mistério da Bahia, Omolu pulou na máquina da Leste Brasileira e foi para o sertão de Juazeiro. A bexiga foi com ele.
Jorge Amado, Capitães da Areia.
*lazareto: estabelecimento para isolamento sanitário de pessoas atingidas por determinadas doenças.
Considere as seguintes afirmações referentes ao texto de Jorge Amado:
I. Do ponto de vista do excerto, considerado no contexto da obra a que pertence, a religião de origem africana comporta um aspecto de resistência cultural e política.
II. Fica pressuposta no texto a ideia de que, na época em que se passa a história nele narrada, o Brasil ainda conservava formas de privação de direitos e de exclusão social advindas do período colonial.
III. Os contrastes de natureza social, cultural e regional que o texto registra permitem concluir corretamente que o Brasil passou por processos de modernização descompassados e desiguais.
Está correto o que se afirma em
Provas
Questão presente nas seguintes provas
TEXTO PARA A QUESTÃO
Working for ondemand startups like Uber and TaskRabbit is supposed to offer flexible hours and higher wages, but many workers have found the pay lower and the hours less flexible than they expected. Even more surprising:8 percent of those chauffeuring passengers and 16 percent of those making deliveries said they lack personal auto insurance.
Those are among the findings from a survey about the work life of independent contractors for ondemand startups, a booming sector of the tech industry, being released Wednesday.
“We want to shed light on the industry as a whole,” said Isaac Madan, a Stanford master’s candidate in bioinformatics who worked with two other Stanford students and a recent alumnus on the survey of 1,330 workers. “People need to understand how this space will change and evolve and help the economy.”
Ondemand, often called the sharing economy, refers to companies that let users summon workers via smartphone apps to handle all manner of services: rides, cleaning, chores, deliveries, car parking, waiting in lines. Almost uniformly, those workers are independent contractors rather than salaried employees.
That status is the main point of contention in a recent rash of lawsuits in which workers are filing for employee status. While the survey did not directly ask contractors if they would prefer to be employees, it found that their top workplace desires were to have paid health insurance, retirement benefits and paid time off for holidays, vacation and sick days – all perks of fulltime workers. Respondents also expressed interest in having more chances for advancement, education sponsorship, disability insurance and humanrelations support.
Because respondents were recruited rather than randomly selected, the survey does not claim to be representational but a conclusion one may come to is that flexibility of new jobs comes with a cost. Not all workers are prepared for that!
SFChronicle.com and SFGate.com, May 20, 2015. Adaptado.
Um dos resultados da pesquisa realizada com prestadores de serviços de empresas do tipo “on-demand” mostra que esses trabalhadores
Provas
Questão presente nas seguintes provas
TEXTO PARA A QUESTÃO
Working for ondemand startups like Uber and TaskRabbit is supposed to offer flexible hours and higher wages, but many workers have found the pay lower and the hours less flexible than they expected. Even more surprising:8 percent of those chauffeuring passengers and 16 percent of those making deliveries said they lack personal auto insurance.
Those are among the findings from a survey about the work life of independent contractors for ondemand startups, a booming sector of the tech industry, being released Wednesday.
“We want to shed light on the industry as a whole,” said Isaac Madan, a Stanford master’s candidate in bioinformatics who worked with two other Stanford students and a recent alumnus on the survey of 1,330 workers. “People need to understand how this space will change and evolve and help the economy.”
Ondemand, often called the sharing economy, refers to companies that let users summon workers via smartphone apps to handle all manner of services: rides, cleaning, chores, deliveries, car parking, waiting in lines. Almost uniformly, those workers are independent contractors rather than salaried employees.
That status is the main point of contention in a recent rash of lawsuits in which workers are filing for employee status. While the survey did not directly ask contractors if they would prefer to be employees, it found that their top workplace desires were to have paid health insurance, retirement benefits and paid time off for holidays, vacation and sick days – all perks of fulltime workers. Respondents also expressed interest in having more chances for advancement, education sponsorship, disability insurance and humanrelations support.
Because respondents were recruited rather than randomly selected, the survey does not claim to be representational but a conclusion one may come to is that flexibility of new jobs comes with a cost. Not all workers are prepared for that!
SFChronicle.com and SFGate.com, May 20, 2015. Adaptado.
Segundo o texto, empresas do tipo “on-demand”
Provas
Questão presente nas seguintes provas
Um dirigível experimental usa hélio como fluido ascensional e octano (C 8H 18) como combustível em seu motor, para propulsão. Suponha que, no motor, ocorra a combustão completa do octano:
!$ C_8H_{18}(g) + { \large 25 \over 2} O_2(g) \rightarrow 8\,CO_2(g) + 9H_2O(g) !$
Para compensar a perda de massa do dirigível à medida que o combustível é queimado, parte da água contida nos gases de exaustão do motor é condensada e armazenada como lastro. O restante do vapor de água e o gás carbônico são liberados para a atmosfera.
Qual é a porcentagem aproximada da massa de vapor de água formado que deve ser retida para que a massa de combustível queimado seja compensada?
Note e adote:
Massa molar (g/mol): H2O ...... 18 O2 ............. 32
CO2 ....... 44 C8H18 ...... 114
Massa molar (g/mol): H2O ...... 18 O2 ............. 32
CO2 ....... 44 C8H18 ...... 114
Provas
Questão presente nas seguintes provas
TEXTO PARA A QUESTÃO

About half of the world’s population is at risk of contracting dengue, according to the World Health Organization. The mosquito is found in tropical and subtropical climates around the world; however, dengue does not naturally occur in these creatures: the mosquitoes get dengue from us.
The mechanism of dengue infection is simple. Female mosquitoes bite humans because they need the protein found in our blood to produce eggs. (Male mosquitoes do not bite.) If the mosquito bites someone with dengue – and then, after the virus’s roughly eight- to 12-day replication period, bites someone else – it passes dengue into its next victim’s bloodstream.
There is no vaccine against dengue, but infecting mosquitoes with a natural bacterium called Wolbachia blocks the insects’ ability to pass the disease to humans. The microbe spreads among both male and female mosquitoes: infected females lay eggs that harbor the bacterium, and when Wolbachia-free females mate with infected males, their eggs simply do not hatch. Researchers are now releasing Wolbachia-infected females into the wild in Australia, Vietnam, Indonesia and Brazil.
Scientific American, June 2015. Adaptado.
De acordo com o texto, a infecção por dengue
Provas
Questão presente nas seguintes provas
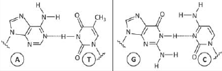
A estrutura do DNA é formada por duas cadeias contendo açúcares e fosfatos, as quais se ligam por meio das chamadas bases nitrogenadas, formando a dupla hélice. As bases timina, adenina, citosina e guanina, que formam o DNA, interagem por ligações de hidrogênio, duas a duas em uma ordem determinada. Assim, a timina, de uma das cadeias, interage com a adenina, presente na outra cadeia, e a citosina, de uma cadeia, interage com a guanina da outra cadeia.
Considere as seguintes bases nitrogenadas:
As interações por ligação de hidrogênio entre adenina e timina e entre guanina e citosina, que existem no DNA, estão representadas corretamente em:
| adenina-timina | guanina-citosina |
Provas
Questão presente nas seguintes provas
TEXTO PARA AS QUESTÃO
Confidência do Itabirano
Alguns anos vivi em Itabira.
Principalmente nasci em Itabira.
Por isso sou triste, orgulhoso: de ferro.
Noventa por cento de ferro nas calçadas.
Oitenta por cento de ferro nas almas.
E esse alheamento do que na vida é porosidade e comunicação.
Principalmente nasci em Itabira.
Por isso sou triste, orgulhoso: de ferro.
Noventa por cento de ferro nas calçadas.
Oitenta por cento de ferro nas almas.
E esse alheamento do que na vida é porosidade e comunicação.
A vontade de amar, que me paralisa o trabalho,
vem de Itabira, de suas noites brancas, sem mulheres e sem [horizontes.
vem de Itabira, de suas noites brancas, sem mulheres e sem [horizontes.
E o hábito de sofrer, que tanto me diverte, é doce herança itabirana.
De Itabira trouxe prendas diversas que ora te ofereço:
este São Benedito do velho santeiro Alfredo Duval;
esta pedra de ferro, futuro aço do Brasil;
este couro de anta, estendido no sofá da sala de visitas;
este orgulho, esta cabeça baixa...
este São Benedito do velho santeiro Alfredo Duval;
esta pedra de ferro, futuro aço do Brasil;
este couro de anta, estendido no sofá da sala de visitas;
este orgulho, esta cabeça baixa...
Tive ouro, tive gado, tive fazendas.
Hoje sou funcionário público.
Itabira é apenas uma fotografia na parede.
Mas como dói!
Hoje sou funcionário público.
Itabira é apenas uma fotografia na parede.
Mas como dói!
Carlos Drummond de Andrade, Sentimento do mundo.
No texto de Drummond, o eu lírico
Provas
Questão presente nas seguintes provas
O aparecimento da pólis constitui, na história do pensamento grego, um acontecimento decisivo. Certamente, no plano intelectual como no domínio das instituições, só no fim alcançará todas as suas consequências; a pólis conhecerá etapas múltiplas e formas variadas. Entretanto, desde seu advento, que se pode situar entre os séculos VIII e VII a.C., marca um começo, uma verdadeira invenção; por ela, a vida social e as relações entre os homens tomam uma forma nova, cuja originalidade será plenamente sentida pelos gregos.
Jean-Pierre Vernant. As origens do pensamento grego. Rio de Janeiro: Difel, 1981. Adaptado.
De acordo com o texto, na Antiguidade, uma das transformações provocadas pelo surgimento da pólis foi
Provas
Questão presente nas seguintes provas
Cadernos
Caderno Container