Foram encontradas 79.447 questões.
4029549
Ano: 2026
Disciplina: Engenharia Civil
Banca: VUNESP
Orgão: Pref. São José Rio Preto-SP
Disciplina: Engenharia Civil
Banca: VUNESP
Orgão: Pref. São José Rio Preto-SP
Provas:
Segundo a Lei Complementar no
649 de 2021, nenhum
serviço de construção, reforma ou demolição no Município, pode ser executado no alinhamento da via pública,
sem que essa via seja protegida com a colocação de
tapume.
Os tapumes devem apresentar altura mínima de
Os tapumes devem apresentar altura mínima de
Provas
Questão presente nas seguintes provas
4029548
Ano: 2026
Disciplina: Engenharia Civil
Banca: VUNESP
Orgão: Pref. São José Rio Preto-SP
Disciplina: Engenharia Civil
Banca: VUNESP
Orgão: Pref. São José Rio Preto-SP
Provas:
Nos desenhos elaborados pelo software de projeto auxiliado por computador, AutoCAD, para unir dois segmentos de reta através de um arco, informando o ângulo de
ligação, utiliza-se o comando
Provas
Questão presente nas seguintes provas
4029547
Ano: 2026
Disciplina: Engenharia Civil
Banca: VUNESP
Orgão: Pref. São José Rio Preto-SP
Disciplina: Engenharia Civil
Banca: VUNESP
Orgão: Pref. São José Rio Preto-SP
Provas:
Segundo a Norma Regulamentadora NR 18, para garantir a segurança nos canteiros de obra, as escadas de uso
coletivo devem, entre outros requisitos, ser dimensionadas em função do fluxo de trabalhadores, e ter patamar
intermediário a cada altura de, no máximo,
Provas
Questão presente nas seguintes provas
4029546
Ano: 2026
Disciplina: Engenharia Civil
Banca: VUNESP
Orgão: Pref. São José Rio Preto-SP
Disciplina: Engenharia Civil
Banca: VUNESP
Orgão: Pref. São José Rio Preto-SP
Provas:
Na construção de uma residência, com paredes de alvenaria de tijolos furados, o critério de medição para pagamento dos serviços executados é o de descontar apenas
os vãos menores de 2 m2.
Considerando que, nas quatro fachadas da residência, cujo comprimento somado é 46 m e altura de 3 m, foram abertos os seguintes vãos: 6 janelas (1,25 m por 1,20 m), 1 janela (2,40 m por 1,50 m) e 2 portas (1,00 m por 2,20 m), a medição da área da alvenaria a ser paga é de
Considerando que, nas quatro fachadas da residência, cujo comprimento somado é 46 m e altura de 3 m, foram abertos os seguintes vãos: 6 janelas (1,25 m por 1,20 m), 1 janela (2,40 m por 1,50 m) e 2 portas (1,00 m por 2,20 m), a medição da área da alvenaria a ser paga é de
Provas
Questão presente nas seguintes provas
4029545
Ano: 2026
Disciplina: Engenharia Civil
Banca: VUNESP
Orgão: Pref. São José Rio Preto-SP
Disciplina: Engenharia Civil
Banca: VUNESP
Orgão: Pref. São José Rio Preto-SP
Provas:
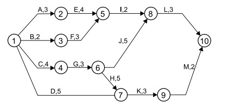
Para o planejamento da construção de um galpão comercial, foi elaborado o cronograma Pert-CPM a seguir, composto por 13 atividades indicadas por letras, seguidas de
suas durações, em semanas.
(Arquivo pessoal; imagem usada com autorização)
Conforme o cronograma, o prazo para a conclusão da reforma é
(Arquivo pessoal; imagem usada com autorização)
Conforme o cronograma, o prazo para a conclusão da reforma é
Provas
Questão presente nas seguintes provas
4029544
Ano: 2026
Disciplina: Engenharia Civil
Banca: VUNESP
Orgão: Pref. São José Rio Preto-SP
Disciplina: Engenharia Civil
Banca: VUNESP
Orgão: Pref. São José Rio Preto-SP
Provas:
No planejamento financeiro da construção de uma
residência, foi prevista a seguinte previsão orçamentária:
R$ 300.000,00 de custos diretos, R$ 12.000,00 de custos
indiretos, 14% de lucro e 8% de impostos.
Com base nessas previsões orçamentárias, o BDI da empreiteira é:
Com base nessas previsões orçamentárias, o BDI da empreiteira é:
Provas
Questão presente nas seguintes provas
4029543
Ano: 2026
Disciplina: Engenharia Civil
Banca: VUNESP
Orgão: Pref. São José Rio Preto-SP
Disciplina: Engenharia Civil
Banca: VUNESP
Orgão: Pref. São José Rio Preto-SP
Provas:
No projeto de pavimentação de estradas, a camada destinada a resistir e distribuir os esforços oriundos do tráfego
e sobre a qual se constrói o revestimento é denominada
Provas
Questão presente nas seguintes provas
4029542
Ano: 2026
Disciplina: Engenharia Civil
Banca: VUNESP
Orgão: Pref. São José Rio Preto-SP
Disciplina: Engenharia Civil
Banca: VUNESP
Orgão: Pref. São José Rio Preto-SP
Provas:
Para atender às necessidades de saneamento básico
de um novo bairro residencial, foi projetada uma rede coletora de esgoto sanitário funcionando com escoamento em
regime uniforme e permanente e em lâmina livre.
Considerando que diâmetro nominal dos tubos coletores é igual a 600 mm, a altura máxima permitida da lâmina d’água para a vazão final é
Considerando que diâmetro nominal dos tubos coletores é igual a 600 mm, a altura máxima permitida da lâmina d’água para a vazão final é
Provas
Questão presente nas seguintes provas
4029541
Ano: 2026
Disciplina: Engenharia Civil
Banca: VUNESP
Orgão: Pref. São José Rio Preto-SP
Disciplina: Engenharia Civil
Banca: VUNESP
Orgão: Pref. São José Rio Preto-SP
Provas:
No sistema elevatório de água de um edifício foram instaladas duas bombas centrífugas iguais, ligadas em série,
cada uma com capacidade de vazão de 30 litros por segundo e de vencer a altura manométrica de 40 m. Nesse
sistema de recalque, a vazão de água e a altura manométrica são, respectivamente,
Provas
Questão presente nas seguintes provas
4029539
Ano: 2026
Disciplina: Engenharia Civil
Banca: VUNESP
Orgão: Pref. São José Rio Preto-SP
Disciplina: Engenharia Civil
Banca: VUNESP
Orgão: Pref. São José Rio Preto-SP
Provas:
Uma viga simplesmente apoiada de concreto protendido,
de seção retangular com 0,36 m de base e 1,00 m de
altura, está submetida ao momento fletor de cálculo de
300 kNm.
Considerando que seja aplicada uma força de protensão de 720 kN a 0,30 m abaixo do eixo baricêntrico da seção transversal da viga, a tensão normal na face inferior da viga é, em módulo, igual a
Considerando que seja aplicada uma força de protensão de 720 kN a 0,30 m abaixo do eixo baricêntrico da seção transversal da viga, a tensão normal na face inferior da viga é, em módulo, igual a
Provas
Questão presente nas seguintes provas
Cadernos
Caderno Container