Foram encontradas 79.994 questões.
Para a execução de um muro de arrimo estão previstos os seguintes desembolsos: RS 30.000,00 de custos diretos, R$ 1.200,00 de custos indiretos e o recolhimento de 8% de impostos. Considerando que o lucro praticado pela construtora é de 12% sobre o faturamento, o preço dessa obra, que será repassado ao cliente, é
Provas
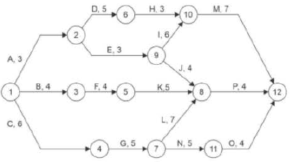
O planejamento da construção de uma edificação comercial seguiu a rede PERT-CPM a seguir, em que as atividades estão representadas por letras, seguidas de suas durações em semanas.

Da análise dessa rede PERT -CPM concluí-se que o tempo para execução dessa obra é
Provas
Nas Instalações elétricas prediais de baixa tensão, quando for necessário limitar os riscos de Incêndio suscitados pela circulação de correntes de falta, uma das soluções é proteger o circuito correspondente por um dispositivo DR, com corrente diferencial- residual nominal de atuação de, no máximo.
Provas
Considere o triângulo de potências de instalação elétrica de baixa tensão de uma edificação.

O fator de potência dessa instalação é
Provas
Após o levantamento topográfico planimétrico de um terreno urbano com área de 400 m2, procedeu-se ao seu desenho em escala 1:50. Nessas condições. a área do desenho na planta é
Provas
Na execuç3o de telhados com telhas cerâmicas tipo francesas, a aresta Inclinada delimitada pelo encontro entre duas águas que formam o ângulo saliente, tornando-se um divisor de águas, é denominada
Provas
De modo a minimizar ocorrências indesejáveis nas estruturas usuais de concreto, como fissuração, variação de resistência mecânica e alterações de tempo de pega, as temperaturas mínima e máxima do concreto, por ocasião de seu lançamento, devem ser. respectivamente,
Provas
No dimensionamento de uma estrutura de aço, foram utilizados perfis cujo módulo resistente é igual a 2000 cm3. Considerando que o coeficiente de forma da seção é 1, 12, o valor do seu módulo plástico resistente é
Provas
No projeto de estruturas de aço, os perfis de aço AR 350 COR apresentam valor nominal mínimo de resistência é ruptura de
Provas
O projeto do sistema elevatório de água de uma edificação, que deve vencer desnível de 46 m entre o ponto de captação de água do reservatório inferior até o ponto de entrega da água no reservatório superior, é constituído por 62 m de tubulação e as seguintes singularidades: um registro de gaveta, uma válvula de retenção, 4 curvas de 90" e uma torneira boia. Os comprimentos equivalentes das singularidades são, respectivamente. 0,20 m, 4,0 m, 0,70 me 11,0 m. Se a perda de carga unitária na tubulação é 0,05 m/m, a altura manométrica desse sistema elevatório é
Provas
Caderno Container