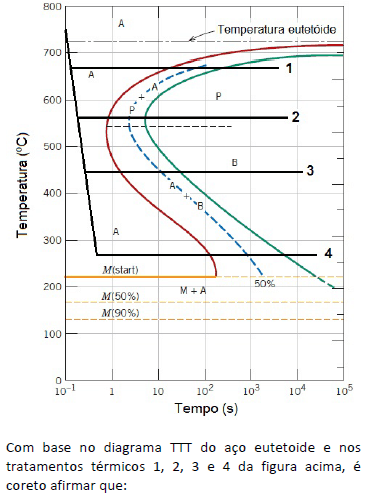
Foram encontradas 400 questões.
Um aço baixa liga e baixo carbono foi tratado no intervalo intercrítico (entre A3 e A1) e resfriado rapidamente. A microestrutura obtida por este tratamento é constituída por:
Provas
Questão presente nas seguintes provas
A microestrutura de um aço baixa liga médio carbono que passou por tratamento térmico de martêmpera é constituída basicamente por:
Provas
Questão presente nas seguintes provas

Provas
Questão presente nas seguintes provas
- Técnicas de produção e fabricação de peças e materiais
- Características e comportamentos dos materiais
Um aço baixa liga SAE 4340 deve ser deformado a frio e usinado para produção de uma peça (um parafuso de fixação, por exemplo). A melhor condição de tratamento térmico que deve ser fornecida a matéria prima para fabricação da peça é:
Provas
Questão presente nas seguintes provas
Quanto ao tratamento térmico de revenido, é correto afirmar que:
Provas
Questão presente nas seguintes provas

Provas
Questão presente nas seguintes provas

Provas
Questão presente nas seguintes provas

Provas
Questão presente nas seguintes provas
A respeito dos defeitos cristalinos pontuais nos materiais metálicos, assinale a alternativa correta:
Provas
Questão presente nas seguintes provas
O deslizamento de discordâncias é o mecanismo de deformação plástica mais comum nos materiais metálicos. Os sistemas primários de deslizamento de cada estrutura cristalina consistem nos planos mais compactos e direções mais compactas pertencentes a estes planos. Nos metais cúbicos de faces centradas o número de sistemas primários de deslizamento é:
Provas
Questão presente nas seguintes provas
Cadernos
Caderno Container