Foram encontradas 29.761 questões.
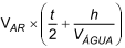
A figura ilustra a instalação de um sonar na proa de um navio.

(https://images.app.goo.gl/w28e6JD4GWSAjWm7A. Adaptado)
O ultrassom percorre, no ar, a distância h e, na água, a distância H, gastando, para ir do sonar ao fundo do mar e retornar a ele, um tempo t. Dado que Var e Vágua representam, respectivamente, a velocidade do som no ar e na água, a profundidade do mar H é corretamente determinada pela expressão
Provas
A quantidade de fótons por cm2 que a folha recebe é de aproximadamente:
Provas
Nesse sentido, quanto maior a diferença de impedância entre duas estruturas, maior será a
Provas
Observe as dimensões olímpicas de uma piscina de polo aquático.

(https://www.dlgsc.wa.gov.au/sport-and-recreation/ sports-dimensions-guide/water-polo. Adaptado)
Um padrão de ondas estacionárias é gerado após um jogo, a distância entre os ventres dessa onda é igual a 20 centímetros, o número de ventres que surgem na piscina ao longo de seu comprimento é de
Provas
Com relação às propriedades do fóton, é correto afirmar que
Provas
(https://pt.dreamstime.com/ecolocaliza. Adaptado)
O morcego da figura recebe as ondas refletidas meio segundo depois de sua emissão. Dado que a velocidade do som no ar é de 340 m/s, a distância entre ele e a presa é, em metros, de
Provas
Provas
(Yuan ZM, Chen M, Jia L, Ji C, Incecik A. Passeio e passagem de ondas por patinhos em natação em formação. Journal of Fluid Mechanics. 2021;928:R2. doi:10.1017/jfm.2021.820. Adaptado)
Note que, ao nadar, a mãe gera ondas na superfície da água, e os patinhos, posicionados em pontos específicos atrás dela, aproveitam essas ondas para reduzir o arrasto e até receber um certo impulso adicional.
O princípio da ondulatória que explica a redução do arrasto e o possível impulso adicional que os patinhos recebem está relacionado com
Provas
Provas
(www.bbc.com/portuguese/internacional-62375926. Adaptado)
Se a massa m do satélite for triplicada e a distância entre ele e a Terra reduzida pela metade, a nova força N será de
Provas
Caderno Container