Foram encontradas 138.476 questões.
Considerando-se a reta numérica abaixo, assinalar a alternativa que a completa CORRETAMENTE.

Provas
Questão presente nas seguintes provas
Um quadro em forma de círculo tem raio de 14cm. Qual
é a área da parte circular? (Considere π = 3,14)
Provas
Questão presente nas seguintes provas
Quantos anagramas tem a palavra MASSA?
Provas
Questão presente nas seguintes provas
Uma empresa de logística tinha 1.200 pacotes para entregar em quatro regiões:
Norte, Sul, Leste e Oeste. As regiões Norte e Sul juntas somavam 600 pacotes. Pela manhã: Foram entregues 1/3 dos pacotes da região Norte. Foram entregues 20% dos pacotes da região Sul. À tarde: O restante da região Norte foi totalmente entregue. Foram entregues 48 pacotes da região Sul, totalizando 100% dessa região. As regiões Leste e Oeste somavam os 600 pacotes restantes, e a região Leste possuía três vezes mais pacotes que a Oeste. Somente os pacotes da região Leste foram entregues à noite, totalizando 80% do total dessa região. Ao final do dia, restaram 30 pacotes da região Oeste.
Com base nesses dados, determine quantos pacotes foram entregues durante a noite.
Norte, Sul, Leste e Oeste. As regiões Norte e Sul juntas somavam 600 pacotes. Pela manhã: Foram entregues 1/3 dos pacotes da região Norte. Foram entregues 20% dos pacotes da região Sul. À tarde: O restante da região Norte foi totalmente entregue. Foram entregues 48 pacotes da região Sul, totalizando 100% dessa região. As regiões Leste e Oeste somavam os 600 pacotes restantes, e a região Leste possuía três vezes mais pacotes que a Oeste. Somente os pacotes da região Leste foram entregues à noite, totalizando 80% do total dessa região. Ao final do dia, restaram 30 pacotes da região Oeste.
Com base nesses dados, determine quantos pacotes foram entregues durante a noite.
Provas
Questão presente nas seguintes provas
Uma fazenda possui um reservatório retangular com 12 metros de comprimento, 8 metros de largura
e 2,5 metros de profundidade, utilizado para armazenar água da chuva. Após uma forte chuva, o
reservatório foi preenchido até 80% de sua capacidade total. A água será utilizada para irrigar uma
plantação de 1,5 hectares, onde cada metro quadrado da plantação exige 5 litros de água por dia.
Considerando que não haverá reposição de água e que toda a água será usada exclusivamente para irrigação, por quantos dias completos será possível irrigar toda a plantação?
Provas
Questão presente nas seguintes provas
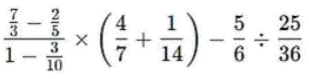
Simplifique e calcule o valor da expressão abaixo:

Provas
Questão presente nas seguintes provas
Um produto teve seu preço aumentado em 20% e, posteriormente, sofreu um desconto de 25% sobre
o novo valor. Qual foi a variação percentual total em relação ao preço original?
Provas
Questão presente nas seguintes provas
Uma cooperativa de reciclagem realiza a coleta seletiva em três bairros com diferentes demandas de
resíduos. A distribuição dos caminhões para cada bairro segue a proporção 5:3:2, baseada em estudos
sobre o volume médio de resíduos recicláveis gerados mensalmente por cada região. No mês de
agosto, o bairro B recebeu exatamente 1.200 kg de resíduos, transportados pelos caminhões
destinados a ele. Considerando que todos os caminhões têm a mesma capacidade de carga e que essa
proporção foi mantida entre os bairros, qual foi o volume total de resíduos recicláveis coletados pela
cooperativa nesse mês?
Provas
Questão presente nas seguintes provas
Em uma empresa, a razão entre o número de funcionários dos setores A e B era de 3 para 2. Após a
contratação de 12 funcionários para o setor A e a transferência de 18 funcionários do setor A para o
setor B, a nova razão entre os funcionários dos setores A e B passou a ser de 1 para 1.
Qual era o número total de funcionários da empresa antes dessas mudanças?
Qual era o número total de funcionários da empresa antes dessas mudanças?
Provas
Questão presente nas seguintes provas
Dos 20 funcionários que trabalham no setor de uma
empresa, a qual é formada apenas por desenvolvedores
e analistas, sabe-se que a razão entre a quantidade de
analistas e de desenvolvedores é de um quarto. Devido
a um novo projeto, foram contratados mais 4
desenvolvedores, mantendo o restante dos funcionários
do setor. Com essas novas contratações, pode-se
afirmar que a razão entre a quantidade de analistas e de
desenvolvedores passou a ser de:
Provas
Questão presente nas seguintes provas
Cadernos
Caderno Container