Foram encontradas 3.554 questões.
Um dos procedimentos em tratamentos de restauração de
papel é a reencolagem. Assinale a alternativa que melhor
descreve este processo.
Provas
Questão presente nas seguintes provas
“O estabelecimento de um programa de conservação para
acervos bibliográficos, documentais e museológicos exige
conhecimentos multidisciplinares e diálogo constante com os
vários setores institucionais, pois deve levar em consideração
os múltiplos aspectos que interferem na preservação e
segurança de um acervo. Atualmente, por exemplo, é
impossível pensar em preservação sem considerar as
tecnologias digitais, todavia, a estruturação de um acervo
digital vai além da compra de equipamentos.”
LANNA, Ana Lúcia Duarte. Guia do IEB: o acervo do Instituto de Estudos Brasileiros. São Paulo: Instituto de Estudos Brasileiros, 2010. Pág. 41.
Assinale a alternativa que relaciona corretamente a digitalização com a preservação dos acervos:
LANNA, Ana Lúcia Duarte. Guia do IEB: o acervo do Instituto de Estudos Brasileiros. São Paulo: Instituto de Estudos Brasileiros, 2010. Pág. 41.
Assinale a alternativa que relaciona corretamente a digitalização com a preservação dos acervos:
Provas
Questão presente nas seguintes provas
“As flutuações de temperatura e umidade relativa do ar
são muito mais nocivas do que os índices superiores aos
considerados ideais, desde que estáveis e constantes. Todos
os materiais encontrados nos acervos são higroscópicos, isto
é, absorvem e liberam umidade muito facilmente e, portanto,
se expandem e se contraem com as variações de temperatura
e umidade relativa do ar”.
CASSARES, Norma Cianflone. Como fazer conservação preventiva em arquivos e bibliotecas. São Paulo: Arquivo do Estado, Imprensa Oficial: 2000.
Assinale a alternativa que exemplifica corretamente os danos indicados pela autora
CASSARES, Norma Cianflone. Como fazer conservação preventiva em arquivos e bibliotecas. São Paulo: Arquivo do Estado, Imprensa Oficial: 2000.
Assinale a alternativa que exemplifica corretamente os danos indicados pela autora
Provas
Questão presente nas seguintes provas
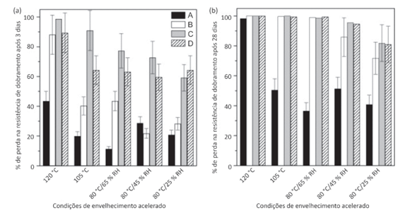
Observe os gráficos a seguir:
Adaptado de The effect of heat and humidity on original wood-pulp papers, de HAVLÍNOVÁ, Bohuslava et al. A study of mechanical properties of papers exposed to various methods of accelerated ageing. Part I. Journal of Cultural Heritage, v. 10, n. 2, 2009.
Os gráficos representam os resultados obtidos em testes de envelhecimento acelerado realizados com quatro amostras de diferentes tipos de papel e mostram o percentual de perda de resistência à dobra. O eixo x mostra as condições de temperatura e Umidade Relativa a que as amostras foram submetidas e o eixo y mostra a porcentagem de perda de resistência à dobra depois de 3 dias (a) e depois de 28 dias (b). A amostra A corresponde ao papel alcalino, enquanto as outras três amostras foram produzidas com diferentes porcentagens de polpa mecânica e química e apresentavam pH ácido. Com base nos dados apresentados, pode-se afirmar:
Adaptado de The effect of heat and humidity on original wood-pulp papers, de HAVLÍNOVÁ, Bohuslava et al. A study of mechanical properties of papers exposed to various methods of accelerated ageing. Part I. Journal of Cultural Heritage, v. 10, n. 2, 2009.
Os gráficos representam os resultados obtidos em testes de envelhecimento acelerado realizados com quatro amostras de diferentes tipos de papel e mostram o percentual de perda de resistência à dobra. O eixo x mostra as condições de temperatura e Umidade Relativa a que as amostras foram submetidas e o eixo y mostra a porcentagem de perda de resistência à dobra depois de 3 dias (a) e depois de 28 dias (b). A amostra A corresponde ao papel alcalino, enquanto as outras três amostras foram produzidas com diferentes porcentagens de polpa mecânica e química e apresentavam pH ácido. Com base nos dados apresentados, pode-se afirmar:
Provas
Questão presente nas seguintes provas
As definições, nomenclaturas e alcance das medidas
relacionadas a conservação êem sido objeto de constante
discussão nos fóruns e associações ligadas à preservação do
patrimônio cultural. A definição mais utilizada atualmente
decorre da resolução "Terminology to characterize the
conservation of tangible cultural heritage”, divulgada pelos
membros do Comitê de Conservação do International Council
of Museums (ICOM-CC), durante a Assembleia Geral da
Conferência Trienal do ICOM-CC, ocorrida em Nova Deli em
setembro de 2008. De acordo com esta definição:
Provas
Questão presente nas seguintes provas
Em 13 de dezembro de 2019 a partir do Decreto nº 10.175, foi
criado o Grupo de Trabalho Interministerial - (GTI) sobre
Museus Federais, sob a coordenação da Casa Civil da
Presidência da República e com apoio técnico do Instituto
Brasileiro de Museus. Este GTI foi subdividido em mais dois
Grupos de Trabalho, sendo o GT1 responsável pelos museus
pertencentes às universidades federais cujo objetivo foi
definido como sendo:
Provas
Questão presente nas seguintes provas
Pode-se sugerir que o plano museológico é o principal
instrumento de gestão dos museus e sua elaboração se inicia
a partir de um diagnóstico. Partindo dessa premissa, assinale
a alternativa correta sobre a realização do diagnóstico e do
planejamento museológico:
Provas
Questão presente nas seguintes provas
A ideia central do texto "Museus, coleções e patrimônios:
narrativas polifônicas", de ABREU, R.; CHAGAS, M. S.; SANTOS,
M. S. (2007) é explorar a diversidade de vozes e perspectivas
que podem ser encontradas nos museus, coleções e
patrimônios culturais. Neste sentido:
Provas
Questão presente nas seguintes provas
Considere as seguintes afirmativas quanto às atribuições do
museólogo:
I. Os museólogos têm como atribuição: organizar, planejar, dirigir e supervisionar museus, administrar, gerir exposições de caráter educativo e cultural, atividades educativas, e confiscar acervos privados que estejam em desacordo com a legislação.
II. Os museólogos podem cuidar da organização, planejamento, administração, direção e supervisão dos museus; podem lecionar Museologia, e podem também trabalhar com exposições de caráter educativo e cultural, com atividades educativas e culturais.
III. Os museólogos têm como atribuição ir à campo e desenvolver o trabalho arqueológico conjuntamente com o arqueólogo para realizar uma triagem mais adequada do material.
É correto o que se afirma em:
I. Os museólogos têm como atribuição: organizar, planejar, dirigir e supervisionar museus, administrar, gerir exposições de caráter educativo e cultural, atividades educativas, e confiscar acervos privados que estejam em desacordo com a legislação.
II. Os museólogos podem cuidar da organização, planejamento, administração, direção e supervisão dos museus; podem lecionar Museologia, e podem também trabalhar com exposições de caráter educativo e cultural, com atividades educativas e culturais.
III. Os museólogos têm como atribuição ir à campo e desenvolver o trabalho arqueológico conjuntamente com o arqueólogo para realizar uma triagem mais adequada do material.
É correto o que se afirma em:
Provas
Questão presente nas seguintes provas
Em 2000, motivado pelo debate sobre questões particulares
envolvendo os museus universitários, um grupo formado por
profissionais de diferentes nacionalidades propôs ao
Conselho Internacional de Museus ICOM a criação de um novo
comitê internacional nomeado Comitê Internacional de
Museus e Coleções Universitárias - UMAC. Este conselho tem
como missão:
Provas
Questão presente nas seguintes provas
Cadernos
Caderno Container