Foram encontradas 1.443 questões.
A configuração atual dos continentes é produto de uma série de processos geológicos que atuaram ao longo de milhões de anos. Dentre estes processos está a migração das placas continentais, abordadas pelo Teoria da Tectônica de Placas. Em relação à configuração atual do Brasil, analise as afirmativas a seguir.
I - A margem continental brasileira é considerada ativa, em função dos processos sedimentares atuantes.
II - O Brasil está inteiramento situado na Placa Meso Atlântica.
III - A ocorrência recente de terremotos na área oceânica frontal ao Estado de São Paulo deve-se ao fato de esta área estar situada em uma região de margem continenal ativa, ao contrário das demais áreas costeiras do Brasil, consideradas passivas.
IV- Em função da origem geológica comum, há na costa brasileira depósitos minerais (principalmente hidrocarbonetos) análogos e correspondentes aos da costa oeste africana.
Está(ão) correta(s) a(s) afirmativa(s)
I - A margem continental brasileira é considerada ativa, em função dos processos sedimentares atuantes.
II - O Brasil está inteiramento situado na Placa Meso Atlântica.
III - A ocorrência recente de terremotos na área oceânica frontal ao Estado de São Paulo deve-se ao fato de esta área estar situada em uma região de margem continenal ativa, ao contrário das demais áreas costeiras do Brasil, consideradas passivas.
IV- Em função da origem geológica comum, há na costa brasileira depósitos minerais (principalmente hidrocarbonetos) análogos e correspondentes aos da costa oeste africana.
Está(ão) correta(s) a(s) afirmativa(s)
Provas
Questão presente nas seguintes provas
Em modelagem numérica dos oceanos, a discretização espacial está relacionada ao número de graus de liberdade do processamento computacional ao longo do domínio do problema. Nas figuras abaixo, são ilustrados quatro diferentes esquemas de discretização vertical.

Os distintos esquemas de discretização correspondem, respectivamente, a

Os distintos esquemas de discretização correspondem, respectivamente, a
Provas
Questão presente nas seguintes provas

No caso de um vazamento acidental de hidrocarbonetos, suas propriedades físico-químicas, associadas às condições meteo-oceanográficas do local, determinarão a trajetória e o comportamento do vazamento. A tabela acima apresenta algumas propriedades de dois óleos distintos, lançados ao mar num vazamento hipotético. Considerando os valores da tabela, as mesmas condições meteo-oceanográficas e o mesmo volume, conclui-se que o(s) óleo(s)
Provas
Questão presente nas seguintes provas
Uma das principais preocupações na aquisição de dados ambientais está no fato de que o intervalo amostral deve se adequar, no tempo e no espaço, à escala do fenômeno que se pretende descrever. Segundo o Teorema de Nyquist, o menor período de onda que se pode resolver a partir de uma série de elevação do nível do mar medida na taxa de 0,5 Hz (Hertz) é:
Provas
Questão presente nas seguintes provas
Em 1977, um grupo de pesquisadores descobriu todo um ecossistema instalado nos arredores de fontes hidrotermais associadas à cordilheira meso-oceânica do Pacífico Leste. Posteriormente, descobriu-se que na base desse ecossistema estão bactérias quimiossintetizantes. Esta descoberta reforçou a idéia de que
Provas
Questão presente nas seguintes provas
As marés astronômicas consistem de um tipo especial de movimento ondulatório e são geradas por efeitos decorrentes das posições relativas entre Terra, Sol e Lua. Como resultado, são ondas longas com períodos característicos de 12 ou 24 horas, aproximadamente. Sobre as marés astronômicas, é INCORRETO afirmar que
Provas
Questão presente nas seguintes provas
As características direcionais das ondas do mar são informações de grande relevância em numerosos campos da ciência e da engenharia. No desenvolvimento e validação de modelos de previsão, no estudo de interações oceano-atmosfera, na estimativa do transporte de sedimento em regiões costeiras, no projeto de estruturas e obras marítimas, os parâmetros de direção média e distribuição relativa da energia subsidiam uma vasta gama de aplicações. A obtenção de informações direcionais de onda é feita atualmente por uma grande variedade de técnicas de medição e de análise de dados. A esse respeito, considere as seguintes estratégias de medição:
I - séries de pitch, heave e roll, medidas por ondógrafo;
II - 4 séries de elevação do nível do mar, obtidas por wave-staffs dispostos perpendicularmente dois a dois;
III - séries de deslocamentos nos eixos x, y e z, medidas por acelerômetros instalados em uma bóia de superfície;
IV - séries de pressão e de componentes de velocidade u e v, obtidas por um ADCP instalado no fundo oceânico, voltado para a superfície.
Permite(m) a análise direcional de ondas a(s) estratégia(s)
I - séries de pitch, heave e roll, medidas por ondógrafo;
II - 4 séries de elevação do nível do mar, obtidas por wave-staffs dispostos perpendicularmente dois a dois;
III - séries de deslocamentos nos eixos x, y e z, medidas por acelerômetros instalados em uma bóia de superfície;
IV - séries de pressão e de componentes de velocidade u e v, obtidas por um ADCP instalado no fundo oceânico, voltado para a superfície.
Permite(m) a análise direcional de ondas a(s) estratégia(s)
Provas
Questão presente nas seguintes provas

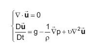
Toda descrição matemática para escoamentos ambientais deve obedecer aos fundamentos básicos da Mecânica dos Fluidos. Em relação às Equações de Navier-Stokes, representadas acima em notação vetorial, assinale a afirmação INCORRETA.
Provas
Questão presente nas seguintes provas
A exploração e a produção de petróleo em áreas offshore de diversas bacias sedimentares têm sido incrementadas com o desenvolvimento de novas tecnologias. Estas bacias apresentam características fisiográficas variadas. Em relação à fisiografia das bacias, pode-se afirmar que a Bacia
Provas
Questão presente nas seguintes provas
Considere, hipoteticamente, que a colisão de um navio-tanque com um rochedo originou o vazamento de 500 mil litros de óleo cru, dentro de uma área estuarina, e atingiu uma área de manguezal. Dentre os procedimentos de limpeza abaixo, qual é o adequado para ser empregado nessa situação, em uma área de manguezal, considerando a legislação vigente sobre o tema?
Provas
Questão presente nas seguintes provas
Cadernos
Caderno Container