Foram encontradas 35.922 questões.
Existe uma medida do teor máximo de resíduo de um agrotóxico nos alimentos, considerado seguro, e ela varia de acordo com as leis vigentes de cada país. Em 2015, a Agência Internacional de Pesquisa para o Câncer, associada à OMS, classificou o agrotóxico glifosato (I) como “provavelmente cancerígeno” para humanos. No Brasil, o limite máximo de resíduo para o agrotóxico glifosato é de 10,00 mg/kg enquanto na União Europeia esse valor está bem abaixo, sendo igual a 0,005 mg/kg. (Dados em g/mol: C=12, H=1, O=16, N=14, P=31)

Uma amostra de 1 t de trigo estocada em um armazém, no sul do Brasil, apresentou 0,1 mol de glifosato. De acordo com os dados apresentados, percebe-se que o valor encontrado foge ao que é permitido no Brasil, e o número de vezes que é superior pode ser representado por:
Provas
Com descoberta datada de 1836, o acetileno é a matéria-prima na fabricação de solventes industriais, plásticos de borracha sintética, explosivos, além de síntese de compostos orgânicos. A produção industrial do acetileno está representada, abaixo, em três etapas, a iniciar pela decomposição da calcita, conforme as equações:

Partindo de uma amostra de 1260,0 g da calcita, com 12% de impurezas e um rendimento de 94%, o volume de acetileno produzido nas CNTP é: (Dado, em g/mol: Ca = 40, C = 12, O = 16)
Provas
Os alvejantes, também conhecidos como branqueadores, são substâncias usadas para eliminar cores e manchas indesejáveis ou deixar mais brancos tecidos ou outros materiais.
Alvejantes podem existir tanto na forma líquida (solução aquosa de NaClO), como na forma sólida, Ca (ClO) em pó. Além do 2 uso em roupas, os alvejantes podem ser usados para o tratamento do papel e para clarear cabelos.
Um dos processos para restaurar a coloração branca das roupas é apresentado a seguir:
PbS(s) + H2O2(aq) → PbSO4(s) + H2O(l)
Em relação à equação descrita, pode-se afirmar que o elemento:
Provas
Historicamente, a síntese orgânica tem se desenvolvido de acordo com as necessidades e a curiosidade humana. Dentre os descobrimentos que marcaram época e que podem ser considerados como fundamentais no desenvolvimento da Química Orgânica, destacam-se as sínteses da ureia por Frederich Wöhler em 1828. O feito de Wöhler marca não somente o fim da teoria da força vital, como também o nascimento da Química Orgânica Sintética como ramo da Química Orgânica.
CORREIA, C. R. D.; COSTA, P. R. R.; FERREIRA, Vitor F. Vinte e cinco anos de reações, estratégias e metodologias em Química Orgânica. Química Nova, São Paulo, v. 25, supl. 1, p. 74-81, 2002.
Com base no conhecimento acumulado sobre reações orgânicas, as substâncias representadas pelas letras A, B e C são, respectivamente:

Provas
Explosão em Beirute: o que se sabe e o que falta saber.
Incidente ocorrido na terça-feira em um depósito de nitrato de amônio na área portuária da capital do Líbano deixou mais de 100 mortos e 4 mil feridos, segundo o governo local. Não há informação sobre a causa.
Disponível em: https://g1.globo.com/mundo/noticia/ 2020/08/04/explosao-em-beirute-o-que-sabe-e-o-que-faltasaber. ghtml. Acessado em 23 de março de 2021.
Em relação ao nitrato de amônio e seu comportamento, é correto afirmar que se trata de um sal:
Provas
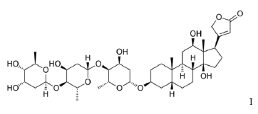
A digoxina (I), um glicosídeo cardiotônico, pode ser usada no tratamento de insuficiência cardíaca e de taquicardia, embora a sua indicação seja ainda muito controversa.

A fórmula molecular da digoxina pode ser representada corretamente por:
Provas
Um técnico possui um reservatório com água pura mantida à temperatura de 45 ºC, para realizar um determinado experimento. Sabendo que a constante da água, Kw, para a água pura na temperatura do experimento é de aproximadamente 4,0.10-14, o pOH da água pode ser descrito por: (Dado log2 = 0,3)
Provas
O mercado brasileiro de medicamentos movimentou R$ 69,04 bilhões em 2019, equivalentes a US$ 17,50 bilhões, segundo os levantamentos da consultoria IQVIA. Houve crescimento de 10,74%, em reais, em relação ao ano anterior, representando aproximadamente 2% do mercado mundial, sendo o 7º em faturamento no ranking das 20 principais economias.
Dados: https://sindusfarma.org.br/uploads/Publicacoes/ Perfil_IF2020_PORT.pdf. Acessado em 22 de março de 2021.
Em estudo realizado pela Associação da Indústria Farmacêutica de Pesquisa (Interfarma), sobre os dez medicamentos mais vendidos no Brasil, um dos medicamentos que mais se destaca é o selozok, que é indicado para redução da pressão arterial, cujo princípio ativo é o tartarato de metoprolol, que apresenta a estrutura a seguir:

As funções orgânicas presentes no tartarato de metoprolol são:
Provas
Na Ficha de Informações de Segurança de Produtos, FISPQ, o dicromato de potássio é identificado como perigoso para o meio ambiente, possuindo caráter mutagênico e carcinogênico. O filme Erin Brockovich – uma mulher de talento, baseado em fatos reais, retratou um incidente envolvendo um escândalo ambiental na Califórnia, em 2002, onde essa substância contaminou a água de um município. O número de oxidação do metal de transição presente nessa substância é igual a:
Provas
Segundo Leão et al. (2016), “para obter êxito na realização das práticas experimentais, é necessário que tenhamos, além do conhecimento das normas de segurança e de conduta em laboratório, a habilidade de reconhecer e manusear os materiais que fazem parte de um laboratório químico, tais como as vidrarias, os equipamentos e os reagentes que normalmente são utilizados nos experimentos”. Nos laboratórios de química, a centrífuga pode ser utilizada para:
Provas
Caderno Container