Foram encontradas 35.922 questões.
Para expressar o potencial elétrico, na eletroquímica, foi escolhido como referencial o eletrodo-padrão de:
Provas
I. O preparo das soluções em laboratório não necessita de tratamento químico prévio, como ocorre na produção de uma solução aquosa contendo 0,1 mol L-1 de NaOH.
II. A precisão de um balão volumétrico pode ser aferida ao calibrá-lo usando balança em uma situação isotérmica.
III. Erros sistemáticos nas preparações de soluções comprometem não somente a reprodutibilidade, mas também a repetibilidade em uma dada medida instrumental.
IV. O modelo mais simples de uma curva de calibração é uma reta; considerando-se a equação y = α + βx, “α” corresponde à sensibilidade dessa curva.
É CORRETO o que se afirma em
Provas
Fonte: Sartori et al (2011). Disponível em:<https://doi.org/10.1590/S0100-46702011000100008> . Acesso em: 26 fev. 2022.
Provas
A ciência química não é somente descoberta. É, também, e especialmente, criação e transformação.
Sem a atividade dos químicos de todas as épocas, algumas conquistas espetaculares jamais teriam acontecido, como os avanços no tratamento de doenças, a exploração espacial e as maravilhas atuais da tecnologia.
C. Zucco. Química para um mundo melhor (editorial).
In: Química Nova, v. 34, n.º 5, 2011. p. 733.
Com base no texto acima, julgue o item quanto à importância social da química e às propriedades dos materiais e das substâncias.
A atual elevada presença de uma cultura geral em química na sociedade garante ao grande público conhecer e interpretar, em detalhes, aspectos químicos do mundo que afetam a vida diária e facilita a capacidade coletiva de se manifestar sobre tais fatos, incluindo sua importância econômica e sua onipresença no cotidiano.
Provas
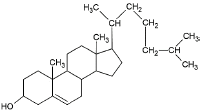
O colesterol, um lipídio encontrado nas membranas celulares das células animais, auxilia na fabricação da bílis e no metabolismo de vitaminas lipossolúveis (A, D, E e K). É também o principal precursor para a síntese de vitamina D e de vários hormônios esteroides. Observe a fórmula estrutural do colesterol: Em relação ao colesterol, analise as afirmativas a seguir.

I. Pode se apresentar sob diferentes formas enantioméricas.
II. É capaz de formar ligações de hidrogênio com a água.
III. Descora uma solução de bromo em tetracloreto de carbono.
IV. Absorve apenas um mol de H2, quando submetido à reação de hidrogenação catalítica.
Está correto o que se afirma em
Provas
A vitamina A pode ser encontrada no tecido animal sob a forma de retinoides ou como pró-vitamina em tecidos vegetais, sob a forma de carotenoide. No fígado, a vitamina A sofre uma reação enzimática que a converte no precursor A, conforme representado na equação a seguir:

Considerando as informações anteriores, marque V para as afirmativas verdadeiras e F para as falsas.
( ) A vitamina A e o precursor A são isômeros geométricos.
( ) A presença do grupo hidroxila na vitamina A possibilita que ela estabeleça ligação de hidrogênio com moléculas de água; e, por isso, é classificada como vitamina hidrossolúvel.
( ) O precursor A apresenta átomos de carbono com hibridização do tipo sp3 ou sp2.
A sequência está correta em
Provas
A teoria atômica de Dalton fomentou um vigoroso crescimento na experimentação química durante o início do século XIX. Como o corpo das observações químicas cresceu e a lista dos elementos expandiu, foram feitas diversas tentativas para encontrar padrões regulares no comportamento químico. Esses esforços culminaram no desenvolvimento da Tabela Periódica, em 1869. Sobre a Tabela Periódica, é INCORRETO afirmar que:
Provas
Em relação aos tipos de destilação, assinale a alternativa correta que têm como base a Lei de Dalton.
Provas
Devido à facilidade de determinação, a Demanda Química de Oxigênio (DQO) passou a ser um parâmetro muito difundido tanto para a caracterização de efluentes com para o monitoramento de estações de tratamento. Assinale a alternativa que corresponde a uma desvantagem da DQO:
Provas
Em relação à titrimetria de neutralização, assinale a alternativa correta:
Provas
Caderno Container