Foram encontradas 1.755 questões.
Julgue o item subsequente a respeito da modulação de amplitude (AM).
A melhora na eficiência de uma transmissão AM do ponto de vista da utilização do espectro de frequência implica o aumento da complexidade dos circuitos envolvidos para a demodulação do sinal transmitido.
Provas
- Técnicas de Modulação e Multiplexação
- Sistemas de Transmissão e Modulação| Redes de Acesso e Infra-estrutura
A figura a seguir representa um sinal AM com índice de modulação menor que um, ou seja, um sinal não sobremodulado.

Provas

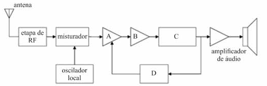
Considerando a figura apresentada, julgue o próximo item, relativo ao receptor AM super-heteródino.
Provas

Considerando a figura apresentada, julgue o próximo item, relativo ao receptor AM super-heteródino.
Provas
- Técnicas de Modulação e Multiplexação
- Sistemas de Transmissão e Modulação| Redes de Acesso e Infra-estrutura
Julgue o seguinte item no que se refere a ruído em modulação e desempenho na presença de ruído.
Embora possuam menor alcance, os sistemas FM são mais robustos ao ruído do que os sistemas AM.
Provas
- Técnicas de Modulação e Multiplexação
- Sistemas de Transmissão e Modulação| Redes de Acesso e Infra-estrutura
Julgue o seguinte item no que se refere a ruído em modulação e desempenho na presença de ruído.
Se um sistema de comunicação FM (modulação em frequência) que trafega sinal de áudio sofre a influência de um ruído branco no canal, a relação sinal-ruído será elevada nas altas frequências do sinal de áudio.
Provas
- Técnicas de Modulação e Multiplexação
- Sistemas de Transmissão e Modulação| Redes de Acesso e Infra-estrutura
Julgue o seguinte item no que se refere a ruído em modulação e desempenho na presença de ruído.
Em um sistema FM de áudio, a fim de se melhorar a relação sinal-ruído do sinal demodulado, recomenda-se a utilização de um filtro de de-ênfase antes do estágio de frequência intermediária. Esse filtro equaliza o sinal reforçando as componentes de alta frequência do sinal de informação.
Provas
- Técnicas de Modulação e Multiplexação
- Sistemas de Transmissão e Modulação| Redes de Acesso e Infra-estrutura
Em relação a modulação angular, julgue o item que se segue.
Sinais FM de banda estreita, com índice de modulação menor que 1, ocupam a mesma largura de banda de um sinal AM DSB.
Provas
- Técnicas de Modulação e Multiplexação
- Sistemas de Transmissão e Modulação| Redes de Acesso e Infra-estrutura
Em relação a modulação angular, julgue o item que se segue.
A largura de banda de um sinal FM depende da máxima frequência do sinal que carrega a informação transmitida, mas não guarda relação com a máxima amplitude deste sinal.
Provas
- Técnicas de Modulação e Multiplexação
- Sistemas de Transmissão e Modulação| Redes de Acesso e Infra-estrutura
Em relação a modulação angular, julgue o item que se segue.
As modulações de fase (PM) e de frequência (FM) não possuem relação entre si, e representam formas diferentes de modulação angular.
Provas
Caderno Container