Foram encontradas 4.007.000 questões.
No planejamento e controle de obras, uma ferramenta visual de gerenciamento de projetos que exibe
tarefas em uma linha do tempo horizontal, usando
barras para mostrar a duração, datas de início/fim, responsáveis e dependências entre atividades, facilitando
o planejamento, acompanhamento e controle do progresso de um projeto, identificando gargalos e otimizando prazos é apresentada esquematicamente abaixo:
Trata-se do gráfico de:
Trata-se do gráfico de:
Provas
Questão presente nas seguintes provas
Identifique abaixo as afirmativas verdadeiras ( V )
e falsas ( F ) no contexto relacionado a alvenarias.
( ) Sobre o vão de portas e janelas, devem ser moldadas ou colocadas contra-vergas.
( ) As vergas e contra-vergas devem exceder a largura do vão em pelo menos 20 cm de cada lado e devem ter altura mínima de 10 cm.
( ) Sob o vão de janelas ou caixilhos diversos, devem ser moldadas ou colocadas vergas.
Assinale a alternativa que indica a sequência correta, de cima para baixo.
( ) Sobre o vão de portas e janelas, devem ser moldadas ou colocadas contra-vergas.
( ) As vergas e contra-vergas devem exceder a largura do vão em pelo menos 20 cm de cada lado e devem ter altura mínima de 10 cm.
( ) Sob o vão de janelas ou caixilhos diversos, devem ser moldadas ou colocadas vergas.
Assinale a alternativa que indica a sequência correta, de cima para baixo.
Provas
Questão presente nas seguintes provas
Analise as afirmativas abaixo em relação às propriedades da madeira.
1. A madeira é ortotrópica porque suas propriedades mecânicas e físicas são diferentes e independentes em três direções.
2. O coeficiente de Poisson é o mesmo para as três direções.
3. A madeira é ortotrópica porque suas propriedades são diferentes e dependentes entre si nas três direções.
Assinale a alternativa que indica todas as afirmativas corretas.
1. A madeira é ortotrópica porque suas propriedades mecânicas e físicas são diferentes e independentes em três direções.
2. O coeficiente de Poisson é o mesmo para as três direções.
3. A madeira é ortotrópica porque suas propriedades são diferentes e dependentes entre si nas três direções.
Assinale a alternativa que indica todas as afirmativas corretas.
Provas
Questão presente nas seguintes provas
Observe o esquema de curvas de nível apresentado abaixo:

Analise as afirmativas abaixo sobre o relevo em que estão localizados os pontos A, B e C.
1. O ponto A está na mesma altitude que o ponto B.
2. O ponto C pode ser considerado um vale.
3. O ponto B está numa depressão.
Assinale a alternativa que indica todas as afirmativas corretas.
Provas
Questão presente nas seguintes provas
O setor administrativo de uma escola está em
processo de reforma e uma das atividades a ser realizada será a alteração das cerâmicas do piso. Serão
quatro salas de dimensões 3,50m x 4,00m que terão
colocação do piso de forma tradicional e duas salas de
6,20m x 4,00m que terão colocação na diagonal. Verificando as especificações das cerâmicas que serão orçadas, os fabricantes sugerem que seja considerado para
a colocação da cerâmica na diagonal um adicional no
quantitativo de 30% e para a colocação na forma tradicional um acréscimo de 15%.
Dessa forma, se a cerâmica orçada for a mesma para todas as salas, a metragem total que deverá ser orçada será de:
Dessa forma, se a cerâmica orçada for a mesma para todas as salas, a metragem total que deverá ser orçada será de:
Provas
Questão presente nas seguintes provas
Analise o texto abaixo:
A temperatura do concreto, por ocasião de seu lançamento em dia de concretagem, deve ser de, no mínimo, e de, no máximo, , de, modo a minimizar ocorrências indesejáveis, como fissuração, variação de resistência mecânica, alterações de tempo de pega, entre outros eventuais problemas.
Assinale a alternativa que completa corretamente as lacunas do texto.
A temperatura do concreto, por ocasião de seu lançamento em dia de concretagem, deve ser de, no mínimo, e de, no máximo, , de, modo a minimizar ocorrências indesejáveis, como fissuração, variação de resistência mecânica, alterações de tempo de pega, entre outros eventuais problemas.
Assinale a alternativa que completa corretamente as lacunas do texto.
Provas
Questão presente nas seguintes provas
Se considerarmos as propriedades dos materiais
de construção, a informação “210 GPa” é o valor típico
de qual propriedade física do aço?
Provas
Questão presente nas seguintes provas
Os ensaios geotécnicos (Limites de Atterberg)
determinam os teores de água em que um solo fino
(como argila) muda de estado – para classificá-lo e
prever o seu comportamento em obras, como estabilidade de fundações e terraplenagem – calculando o:
Provas
Questão presente nas seguintes provas
As áreas de vivência devem ser mantidas em perfeito estado de conservação, higiene e limpeza.
De acordo com a NR 18, os canteiros de obras devem dispor de ambulatório, quando se tratar de frentes de trabalho com ou mais trabalhadores.
Assinale a alternativa que completa corretamente a lacuna do texto.
De acordo com a NR 18, os canteiros de obras devem dispor de ambulatório, quando se tratar de frentes de trabalho com ou mais trabalhadores.
Assinale a alternativa que completa corretamente a lacuna do texto.
Provas
Questão presente nas seguintes provas
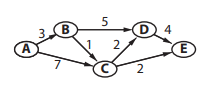
O método do caminho crítico refere-se a um conjunto de técnicas utilizadas para o planejamento e o
controle de projetos, obras e serviços.
Assim, analise a figura:
As letras representam as atividades a serem realizadas e os números, o tempo necessário para execução das mesmas (em semanas).
Com base nessas informações, é correto afirmar que o caminho crítico está identificado no percurso do caminho:
Assim, analise a figura:
As letras representam as atividades a serem realizadas e os números, o tempo necessário para execução das mesmas (em semanas).
Com base nessas informações, é correto afirmar que o caminho crítico está identificado no percurso do caminho:
Provas
Questão presente nas seguintes provas
Cadernos
Caderno Container