Magna Concursos

Foram encontradas 4.007.000 questões.

4048021 Ano: 2026
Disciplina: Química
Banca: SELECON
Orgão: UFRJ
Provas:
A tabela periódica apresenta tendências de propriedades periódicas. No que se refere à eletronegatividade, na tabela periódica, observa-se que o(a):
 

Provas

Questão presente nas seguintes provas
4048020 Ano: 2026
Disciplina: Química
Banca: SELECON
Orgão: UFRJ
Provas:
Em um laboratório de análise química, um estudante prepara uma solução de um composto orgânico aromático e realiza uma leitura espectrofotométrica no ultravioleta (UV). Ele observa um pico de absorção em ≈ 260 nm. Com base nessa observação, o estudante conclui que o(a):
 

Provas

Questão presente nas seguintes provas
4048019 Ano: 2026
Disciplina: Química
Banca: SELECON
Orgão: UFRJ
Provas:
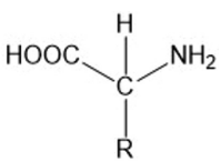
A estrutura geral de um aminoácido pode ser representada pela seguinte estrutura.
Enunciado 4463208-1

Observa-se que o carbono central está ligado a um grupo amino (–NH2), a um grupo carboxila (–COOH), a um átomo de hidrogênio e a uma cadeia lateral variável (R). Com base nessa estrutura, o caráter anfótero dos aminoácidos decorre do fato de que essas moléculas:
 

Provas

Questão presente nas seguintes provas
4048018 Ano: 2026
Disciplina: Química
Banca: SELECON
Orgão: UFRJ
Provas:
Uma amostra de gás ideal sofre uma transformação isobárica. Se a temperatura absoluta for duplicada, o volume do gás:
 

Provas

Questão presente nas seguintes provas
4048017 Ano: 2026
Disciplina: Química
Banca: SELECON
Orgão: UFRJ
Provas:
A finalidade do Teste de Baeyer é:
 

Provas

Questão presente nas seguintes provas
4048016 Ano: 2026
Disciplina: Química
Banca: SELECON
Orgão: UFRJ
Provas:
Em um laboratório de Química, um estudante realizou dois procedimentos distintos. No primeiro, ao misturar duas substâncias, observou-se aumento da temperatura do recipiente, mesmo sem aquecimento externo. No segundo procedimento, foi necessário fornecer calor ao sistema para que a transformação ocorresse. Com base nessas observações, os processos descritos são classificados, respectivamente, como:
 

Provas

Questão presente nas seguintes provas
4048015 Ano: 2026
Disciplina: Química
Banca: SELECON
Orgão: UFRJ
Provas:
A melatonina é um hormônio produzido pela glândula pineal e está relacionada à regulação do ciclo sono-vigília. Analise a estrutura molecular da melatonina a seguir:
Enunciado 4463204-1
A função orgânica presente na molécula da melatonina é:
 

Provas

Questão presente nas seguintes provas
4048014 Ano: 2026
Disciplina: Libras
Banca: SELECON
Orgão: UFRJ
A formação do tradutor/intérprete de Língua Brasileira de Sinais/Língua Portuguesa no Brasil passou por importantes transformações nos últimos anos, sobretudo no que se refere à profissionalização e ao reconhecimento da necessidade de formação em nível superior. Gontijo (2025), em sua pesquisa intitulada “Políticas de Tradução e Interpretação: os intérpretes de Libras no ensino superior”, discute os desafios e os contextos sociopolíticos que moldam essa formação profissional, destacando a importância de currículos que articulem linguística, prática tradutória e reflexões críticas sobre inclusão e direitos linguísticos. A partir disso, pode-se defender que o(a):
 

Provas

Questão presente nas seguintes provas
4048013 Ano: 2026
Disciplina: Libras
Banca: SELECON
Orgão: UFRJ
A Lei n.º 14.704, de 25 de outubro de 2023, alterou a legislação que regulamenta o exercício profissional dos tradutores, intérpretes e guia-intérpretes da Língua Brasileira de Sinais (Libras) no Brasil. Essa lei atualiza a Lei n.º 12.319/2010, estabelecendo de forma mais clara as condições de trabalho e a regulamentação dessa profissão, ampliando seu campo de atuação. De acordo com o disposto nessa Lei, atesta-se que a:
 

Provas

Questão presente nas seguintes provas
4048012 Ano: 2026
Disciplina: Libras
Banca: SELECON
Orgão: UFRJ
Os estudos contemporâneos sobre a surdez compreendem a identidade surda como uma construção histórica, social e cultural, marcada pela experiência visual, pelo uso da Libras e pelas relações estabelecidas na comunidade surda. Essa perspectiva rompe com concepções essencialistas e biomédicas da surdez, reconhecendo a pluralidade de identidades existentes entre pessoas surdas. Considerando os debates teóricos sobre identidades surdas, afirma-se que a(s):
 

Provas

Questão presente nas seguintes provas