Foram encontradas 1.069 questões.
A amostra aleatória simples X1, X2,..., Xn foi retirada de uma distribuição de Poisson, em que a média é M e a variância é V e a média amostral é
. Com relação a essa amostra, julgue o item a seguir.
é um estimador não viciado e consistente da média
populacional M.
Provas
A amostra aleatória simples X1, X2,..., Xn foi retirada de uma distribuição de Poisson, em que a média é M e a variância é V e a média amostral é
. Com relação a essa amostra, julgue o item a seguir.
A média amostral é o estimador de máxima verossimilhança da variância V.
Provas
A amostra aleatória simples X1, X2,..., Xn foi retirada de uma distribuição de Poisson, em que a média é M e a variância é V e a média amostral é
. Com relação a essa amostra, julgue o item a seguir.
Na situação apresentada, para uma amostra de tamanho n = 10, a estatística do teste t de Student com 9 graus de liberdade é aplicável para testar a hipótese nula H0 : M = 5 contra a hipótese alternativa H1 : M ≠ 5.
Provas
Uma pessoa tem um capital investido em uma aplicação e paga juros à taxa de 6% ao mês. Ela deseja efetuar 12 saques mensais (um a cada mês) de R$ 3.000,00, sendo o primeiro saque daqui a 5 meses, e, em seguida, 6 saques mensais (um a cada mês) de R$ 5.000,00.
Considerando que o símbolo
indica a soma [ 1/1+i + 1/(1+i)2 +......+ 1/(1+i)n] , julgue o seguinte item.
O valor presente do fluxo total de 18 saques mensais,
à taxa de juros de 6% ao mês, é dado por 
Provas
Uma pessoa tem um capital investido em uma aplicação e paga juros à taxa de 6% ao mês. Ela deseja efetuar 12 saques mensais (um a cada mês) de R$ 3.000,00, sendo o primeiro saque daqui a 5 meses, e, em seguida, 6 saques mensais (um a cada mês) de R$ 5.000,00.
Considerando que o símbolo
indica a soma [ 1/1+i + 1/(1+i)2 +......+ 1/(1+i)n] , julgue o seguinte item.
Para sacar R$ 2.000,00 em cada um dos quatro meses que
antecedem o primeiro fluxo de saques apresentado,
sem que haja alteração nos valores e nas quantidades
dos saques futuros, o valor presente depositado deverá ser
acrescido de 
Provas
Uma pessoa tem um capital investido em uma aplicação e paga juros à taxa de 6% ao mês. Ela deseja efetuar 12 saques mensais (um a cada mês) de R$ 3.000,00, sendo o primeiro saque daqui a 5 meses, e, em seguida, 6 saques mensais (um a cada mês) de R$ 5.000,00.
Considerando que o símbolo
indica a soma [ 1/1+i + 1/(1+i)2 +......+ 1/(1+i)n] , julgue o seguinte item.
Se a pessoa quiser que todos os 18 saques tenham valores
iguais, o primeiro daqui a 5 meses, a partir do mesmo valor
presente do fluxo apresentado, então o valor de cada saque será
igual a
reais, em que P representa o valor presente.
Provas
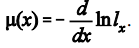
No que se refere a rendas financeiras e rendas atuariais e a anuidades discretas e contínuas, julgue o item seguinte.
Se µ(x) é a força de mortalidade na idade x dentro da coorte e
lx é a quantidade de pessoas vivas com x anos de idade, então 
Provas
No que se refere a rendas financeiras e rendas atuariais e a anuidades discretas e contínuas, julgue o item seguinte.
Considere que i seja a taxa de juros de um plano de
previdência, lx seja a quantidade de pessoas vivas com x anos
de idade em determinada coorte e as funções de sobrevivência
sejam
e , em que ω é a idade
terminal. Nesse caso, o valor presente atuarial de um fluxo de
pagamentos anuais iguais a 1 até a morte (idade ω) do
segurado será igual a Nx /Dx, sendo x a idade atual do segurado.
Provas
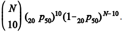
A respeito das funções de sobrevivência para múltiplas vidas em uma mesma coorte, julgue o item subsequente, considerando que npx indica a probabilidade de uma pessoa com x anos de idade viver mais n anos.
A probabilidade de, em um grupo de N pessoas (N > 10), todas com 50 anos de idade, apenas 10 pessoas chegarem vivas aos 70 anos de idade é expressa por

Provas

A tabela precedente mostra um trecho de uma tábua de comutações, em que x é a idade, Dx e Nx são funções de sobrevivência e Cx e Mx são funções de morte; a taxa de desconto atuarial é fixada.
A partir dessas informações, julgue os itens que se seguem, a respeito do cálculo de provisões de um fundo de previdência.
Caso uma pessoa de 60 anos de idade deseje resgatar um benefício vitalício de R$ 30.000,00 por ano, a reserva matemática a ser mantida pelo fundo, calculada pelo método prospectivo, será de R$ 300.000,00.
Provas
Caderno Container