Foram encontradas 100 questões.
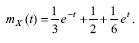
Se X1, X2,..., Xn representa uma amostra aleatória simples de uma distribuição exponencial com média 1/
desconhecida e se a distribuição a priori de
é uma distribuição gama com parâmetros
então a distribuição a posteriori de
dado que Xi = xi, i = 1, 2,..., n é uma distribuição gama com parâmetros:
Provas
- FundamentosTipos de VariáveisCálculo de Medidas Estatísticas
- ProbabilidadesFunção de Distribuição Acumulada
O critério da fatoração pode ser um bom recurso para a determinação de estatísticas suficientes. De um modo geral, esse critério diz que se X1, X2,..., Xn representa uma amostra aleatória simples de uma densidade parametrizada por um vetor de parâmetros
, então um conjunto de estatísticas T1 = t1(X1, X2,..., Xn), (T2 = t2(X1, X2,..., Xn),..., Tk = tk(X1, X2,..., Xn) é conjuntamente suficiente para
se a função de densidade de probabilidade conjunta de X1, X2,..., Xn pode ser fatorada como:
Provas
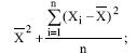
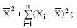
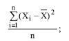
Se X1, X2,..., Xn representa uma amostra aleatória simples de uma variável aleatória X normalmente distribuída com média µ e desvio padrão
desconhecidos, então o estimador de máxima verossimilhança de E[ X2 ] é dado por:
Provas
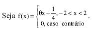
Seja X uma variável aleatória cuja função geratriz de momentos é dada por 
O valor de
é:
Provas
Sorteiam-se ao acaso e sem reposição dois cartões de uma urna contendo cartões numerados de 1 a 5. Sejam as variáveis aleatórias X1 , o primeiro número sorteado e X 2 , o segundo número sorteado, pode-se afirmar que as variáveis aleatórias X1 e X 2 são:
Provas
ATENÇÃO: O enunciado a seguir vale para as questões 74 e 75.

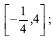
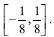
que maximiza a variância no modelo descrito pela função de densidade f(x) é:Provas
ATENÇÃO: O enunciado a seguir vale para as questões 74 e 75.

O conjunto de valores de
para o qual f(x) é uma função de densidade de probabilidade é:
Provas
Em uma cidade de população numerosa, uma amostra aleatória simples de tamanho 100 é coletada para avaliar a opinião sobre um projeto municipal. A amostra revelou 60 favoráveis ao projeto e 40 contrários. Se, de fato, os adultos dessa cidade estão igualmente divididos com relação ao projeto (50% são favoráveis e 50% são contrários), a probabilidade de se obter maioria de 60 ou mais a favor, numa amostra aleatória simples de tamanho 100, é, aproximadamente:
Provas
A única família de distribuições paramétricas de probabilidade (não-degenerada) que satisfaz a condição de que a média deve ser maior do que a variância, entre as alternativas a seguir, é a:
Provas
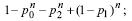
Suponha que n experimentos independentes sejam realizados, resultando, em cada experimento, nos valores 0, 1 ou 2 com probabilidades respectivas
A probabilidade de que os números 0 e 2 ocorram pelo menos uma vez é dada por:
Provas
Caderno Container