Foram encontradas 100 questões.
Um modelo simplificado para a variação no preço de uma ação supõe que a cada dia o preço pode tanto subir uma unidade (+1) com probabilidade p, como cair uma unidade (-1) com probabilidade 1-p. Também supõe-se que as mudanças a cada dia sejam independentes. Com base nesse modelo, a probabilidade de que o preço da ação tenha caído no primeiro dia de observação, dado que após três dias de observação o preço da ação subiu em uma unidade é:
Provas
Para determinar se 60 pessoas em um grupo são portadoras ou não de certa doença, é necessário realizar um exame de sangue muito caro. Para contornar essa dificuldade, em vez de realizar 60 exames, decide-se distribuir essas pessoas em 4 grupos de 15 e juntar as amostras de sangue das pessoas de cada grupo, realizando-se inicialmente 4 exames, um para cada grupo. Em cada grupo, o sangue das quinze pessoas é coletado e misturado, e um único exame é realizado para essa amostra combinada. Se o exame da amostra combinada resulta negativo, conclui-se que nenhuma pessoa do grupo é portadora da doença e, assim, apenas um exame será realizado para esse grupo. Mas se o exame resulta positivo, conclui-se que pelo menos uma pessoa do grupo é portadora da doença e será necessário realizar um exame individual para cada membro desse grupo, de modo que serão realizados 16 exames para esse grupo. Se a probabilidade de ser portador da doença é 0,01 para todas as pessoas independentemente, o número esperado de exames em cada grupo é:
Provas
Um equipamento de teste de falhas satisfaz a condição
com A={equipamento indica que componente é defeituoso},
é o complementar de A, B={o componente é defeituoso} e
é o complementar de B. A expectativa de um cliente é usar esse aparelho para localizar os componentes defeituosos em um grande lote de componentes no qual 10% são defeituosos. O valor de
é:
Provas
Um grupo de 4 brasileiros e 4 bolivianos será aleatoriamente dividido em dois grupos de tamanho 4. A probabilidade de que ambos tenham o mesmo número de brasileiros e bolivianos é:
Provas
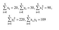
As notas de cinco alunos em português (X) e em matemática (Y) foram observadas e os seguintes resultados foram obtidos:

Provas
Uma pesquisa para avaliar a dependência entre sexo e presença de um certo fator resultou na seguinte tabela de contingências:

Provas
A tabela de freqüências relativas a seguir apresenta os salários, em reais, dos trabalhadores de um certo empreendimento:

Provas
- Estatística DescritivaMedidas de DispersãoDesvio Médio
- Estatística DescritivaMedidas de DispersãoVariância
As notas de dez alunos num exame estão dadas a seguir:
2 5 8 3 6 5 8 7 6 10
O desvio médio e a variância dessas notas podem ser expressos, respectivamente, por:
Provas
- FundamentosAnálise de Tabelas e GráficosDiagrama de Ramos e Folhas (Stem and Leaf)
- Estatística DescritivaMedidas de Tendência CentralMediana
As alturas de cinqüenta indivíduos foram medidas e resultaram no seguinte ramo-e-folhas:

Provas

Uma amostra aleatória simples de tamanho razoavelmente grande foi obtida de uma função de densidade de probabilidade contínua e resultou no seguinte desenho esquemático:

Provas
Caderno Container