Foram encontradas 860 questões.
A respeito de bancos de dados, julgue o item seguinte.
A criação de índices em bancos de dados possibilita a otimização das operações relacionadas aos campos que compõem os índices.
Provas
A respeito de bancos de dados, julgue o item seguinte.
Em sistemas de bancos de dados, o processamento de operações do tipo COMMIT e ROLLBACK garante a atomicidade das transações.
Provas
Julgue o próximo item, relacionado à linguagem PHP e ao framework ZEND.
Na versão CGI do PHP, está disponível a função header (), cujo uso é apropriado caso o objetivo seja o envio de uma janela de autenticação para o usuário.
Provas
Julgue o próximo item, relacionado à linguagem PHP e ao framework ZEND.
No framework ZEND, os plugins são definidos como classes e podem ser criados por meio da extensão de classes abstratas ou da implementação de interfaces.
Provas
Julgue o item subsequente, acerca de banco de dados.
A primeira fase de um projeto de banco de dados é a de levantamento e análise de requisitos. Concluída essa fase, é necessário escolher o SGBD para, então, realizar-se a modelagem conceitual e lógica dos dados. Este procedimento é necessário porque tanto o projeto conceitual quanto o lógico dependem do SGDB.
Provas
- Banco de Dados RelacionalRestrições de IntegridadeIntegridade de Entidade
- Banco de Dados RelacionalRestrições de IntegridadeIntegridade Referencial
- Banco de Dados RelacionalTipos de ChavesChave Primária
Julgue o item subsequente, acerca de banco de dados.
As restrições de integridade são especificadas em modelos de esquemas de banco de dados relacionais, já que é necessário manter válido esse esquema a cada estado do banco de dados. Na restrição de integridade referencial, nenhum valor da chave primária poderá ser nulo.
Provas
Julgue o item subsequente, acerca de banco de dados.
O modelo relacional representa o banco de dados como uma coleção de relações. Quando uma relação é considerada uma tabela de valores, cada relação na tabela representa uma coleção de valores de dados relacionados.
Provas
- AdministraçãoOtimização e Performance de Banco de DadosTécnicas de Indexação
- Banco de Dados RelacionalÍndices
Julgue o item subsequente, acerca de banco de dados.
As árvores do tipo B+-trees podem ser utilizadas para indexação de dados em um SGBDR. Nas árvores do tipo B-tree, há restrições adicionais que garantem que a árvore sempre esteja balanceada. Nas árvores B+-tree, os ponteiros de dados são armazenados apenas nos nós folha da árvore.
Provas
Julgue o item subsequente, acerca de banco de dados.
Como durante as operações de inserção, atualização e exclusão a existência de índices aumenta o overhead da transação, faz-se necessário, no tunning de banco de dados, analisar, entre outros fatores, se um atributo deve ser indexado ou não, se um índice deve ser composto ou simples e se esse índice deve ser primário ou não.
Provas
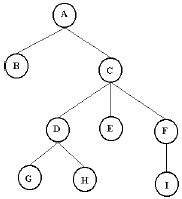
Julgue o próximo item, relativo a estrutura de informação.
Uma árvore é uma estrutura hierárquica composta por x nós, sendo x >= 0. O grau da árvore mostrada abaixo é igual a 3 e a altura é igual 4, com relação à raiz A.

Provas
Caderno Container