Foram encontradas 642 questões.
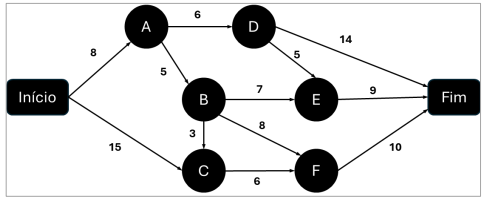
A figura a seguir mostra uma rede PERT para realização de um serviço de engenharia, onde as durações das atividades, indicadas nas setas,
estão expressas em dias.
O máximo valor de folga existente dentre todas as atividades, de forma a não comprometer a duração total da obra, vale, em dias,
O máximo valor de folga existente dentre todas as atividades, de forma a não comprometer a duração total da obra, vale, em dias,
Provas
Questão presente nas seguintes provas
A figura a seguir mostra o projeto de movimento de terra de um trecho de estrada, onde as linhas inclinadas indicam o terreno original e a
linha reta horizontal o tereno após o serviço de terraplenagem. Considera-se que a largura da seção transversal da estrada, a ser nivelada,
é constante e igual a 10m.
Sabendo-se que a especificação técnica do serviço permite que os cortes sejam utilizados para realização de aterros, e desprezando-se a realização dos taludes, o movimento de terra nesse trecho resultará no transporte, para bota-fora, de um volume de terra igual a
Sabendo-se que a especificação técnica do serviço permite que os cortes sejam utilizados para realização de aterros, e desprezando-se a realização dos taludes, o movimento de terra nesse trecho resultará no transporte, para bota-fora, de um volume de terra igual a
Provas
Questão presente nas seguintes provas
A planta de situação de uma edificação com dois pavimentos idênticos e situada na Rua Mata Machado, 14, é apresentada a seguir.
Tomando por base essa planta, o coeficiente de aproveitamento do terreno indicado vale
Tomando por base essa planta, o coeficiente de aproveitamento do terreno indicado vale
Provas
Questão presente nas seguintes provas
O controle de estoques em construção civil deve levar em
consideração a perecibilidade dos materiais.
Assinale a opção que apresenta um material que pode ser considerado perecível.
Assinale a opção que apresenta um material que pode ser considerado perecível.
Provas
Questão presente nas seguintes provas
Em relação à manutenção preditiva, analise os itens a seguir:
I. É mais adequada para peças que possuem baixo grau de criticidade em relação aos impactos das falhas
II. Requer um monitoramento contínuo das peças em produção
III. Deve ser realizada assim que determinada peça ou equipamento apresente uma falha que impeça sua operação
Está correto o que se afirma em
I. É mais adequada para peças que possuem baixo grau de criticidade em relação aos impactos das falhas
II. Requer um monitoramento contínuo das peças em produção
III. Deve ser realizada assim que determinada peça ou equipamento apresente uma falha que impeça sua operação
Está correto o que se afirma em
Provas
Questão presente nas seguintes provas
As tintas utilizadas para pintura em construção civil podem ser
miscíveis em água ou em solventes.
Assinale a opção que indica somente tintas miscíveis em água.
Assinale a opção que indica somente tintas miscíveis em água.
Provas
Questão presente nas seguintes provas
Relacione os termos a seguir, definidos pela Lei nº 9985/2000, às respectivas descrições.
1. Preservação
2. Recuperação
3. Restauração
( ) restituição de um ecossistema ou de uma população silvestre degradada a uma condição não degradada, que pode ser diferente de sua condição original.
( ) restituição de um ecossistema ou de uma população silvestre degradada ao mais próximo possível da sua condição original.
( ) conjunto de métodos, procedimentos e políticas que visem a proteção a longo prazo das espécies, habitats e ecossistemas.
Assinale a opção que indica a relação correta na ordem apresentada.
Provas
Questão presente nas seguintes provas
Segundo a Resolução CONAMA nº 237/1997, o órgão ambiental
competente deve estabelecer os prazos de validade de cada tipo
de licença ambiental para um empreendimento, respeitando os
limites máximos definidos pela resolução.
O prazo máximo de validade da licença ambiental prévia (LP) é de
O prazo máximo de validade da licença ambiental prévia (LP) é de
Provas
Questão presente nas seguintes provas
As fases da execução de um serviço de concretagem são, nessa
ordem,
Provas
Questão presente nas seguintes provas
A medição dos serviços de uma obra é realizada com base no
Provas
Questão presente nas seguintes provas
Cadernos
Caderno Container