Foram encontradas 60 questões.
Em uma empresa do setor nuclear, deseja-se estabilizar a
temperatura de saída do refrigerante do circuito primário de um
reator PWR (Pressurized Water Reactor) por meio de uma malha
de realimentação negativa. O atuador é uma válvula motorizada,
ou seja, com dinâmica de 1ª ordem, que ajusta a vazão no trocador
de calor. O processo térmico entre a vazão e a temperatura de
saída também pode ser aproximado por 1ª ordem. O sensor
RT/transmissor apresenta atraso de 1ª ordem. O controlador é
proporcional com ganho Kc.= 3, ou seja: GC = KC = 3
A função de transferência do processo térmico é :
Para a válvula de acionamento:
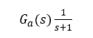
O sensor tem a função:
Considerando o processo em realimentação negativa, a função de transferência desse processo está mostrada na na opção.
A função de transferência do processo térmico é :
Para a válvula de acionamento:
O sensor tem a função:
Considerando o processo em realimentação negativa, a função de transferência desse processo está mostrada na na opção.
Provas
Questão presente nas seguintes provas
Em sistemas de I&C para ambientes de alta criticidade, como os
envolvidos no controle das reações nucleares, a segurança das
instalações e a segurança operacional estão cada vez mais
interligadas. É princípio fundamental garantir que os sistemas
sejam construídos para permanecer confiáveis diante de erro ou
infortúnio, e que os riscos sejam mantidos abaixo de um limite
aceitável.
Analise as afirmações a seguir sobre a aplicação dos princípios fundamentais da engenharia de segurança em projetos I&C e assinale (V) para verdadeiro e (F) para falso.
( ) A Defesa em profundidade é implementada através do planejamento estratégico e da decomposição do problema em blocos mais simples. Essa abordagem hierárquica reflete o princípio de separação arquitetural, onde o sistema de controle pode ver o estado dos sistemas de segurança, mas não pode interferir neles.
( ) A recuperação de falhas é o aspecto mais importante em sistemas críticos, como alarmes e controles. Em cenários de incerteza, a política de segurança exige que a ação conservadora de forçar o sistema para um estado seguro seja adotada, em vez de priorizar a continuidade operacional.
( ) O desempenho de qualquer sistema de instrumentação é limitado pelo ruído e pela atenuação do sinal. Na análise de defeitos o uso de barramentos compartilhados com saídas tristate é o método preferido em I&C de proteção, pois elimina o risco de contenção de barramento entre canais independentes.
A sequência correta do preenchimento dos parênteses é
Analise as afirmações a seguir sobre a aplicação dos princípios fundamentais da engenharia de segurança em projetos I&C e assinale (V) para verdadeiro e (F) para falso.
( ) A Defesa em profundidade é implementada através do planejamento estratégico e da decomposição do problema em blocos mais simples. Essa abordagem hierárquica reflete o princípio de separação arquitetural, onde o sistema de controle pode ver o estado dos sistemas de segurança, mas não pode interferir neles.
( ) A recuperação de falhas é o aspecto mais importante em sistemas críticos, como alarmes e controles. Em cenários de incerteza, a política de segurança exige que a ação conservadora de forçar o sistema para um estado seguro seja adotada, em vez de priorizar a continuidade operacional.
( ) O desempenho de qualquer sistema de instrumentação é limitado pelo ruído e pela atenuação do sinal. Na análise de defeitos o uso de barramentos compartilhados com saídas tristate é o método preferido em I&C de proteção, pois elimina o risco de contenção de barramento entre canais independentes.
A sequência correta do preenchimento dos parênteses é
Provas
Questão presente nas seguintes provas
Um projeto de automação exige um circuito de intertravamento
no qual uma condição de segurança deve ser retida e armazenada
temporariamente para garantir a ordem correta de passos do
processo. A implementação dessa retenção de estado é feita por
meio de dispositivos digitais.
O componente básico que confere a capacidade de memorizar as informações desse circuito é o
O componente básico que confere a capacidade de memorizar as informações desse circuito é o
Provas
Questão presente nas seguintes provas
Em um projeto de automação que envolve a discretização de um
controlador, o engenheiro deve analisar o impacto do período de
amostragem (T).
Avalie os itens a seguir e assinale (V) para verdadeiro e (F) para falso.
( ) O período de amostragem T é um fator crítico que influencia a localização dos polos no plano z e, consequentemente, determina tanto a estabilidade absoluta quanto as características de resposta transitória do sistema como o coeficiente de amortecimento e a frequência natural não amortecida.
( ) À medida que a frequência de amostragem aumenta a dinâmica do sistema digital modelado converge para o comportamento do sistema contínuo equivalente, servindo como a referência de projeto.
( ) Uma frequência de amostragem exageradamente alta pode não resultar em melhorias significativas no desempenho, mas pode acentuar os efeitos de ruídos de alta frequência e elevar o custo do projeto devido ao aumento da demanda computacional.
A sequência correta do preenchimento dos parênteses é
Avalie os itens a seguir e assinale (V) para verdadeiro e (F) para falso.
( ) O período de amostragem T é um fator crítico que influencia a localização dos polos no plano z e, consequentemente, determina tanto a estabilidade absoluta quanto as características de resposta transitória do sistema como o coeficiente de amortecimento e a frequência natural não amortecida.
( ) À medida que a frequência de amostragem aumenta a dinâmica do sistema digital modelado converge para o comportamento do sistema contínuo equivalente, servindo como a referência de projeto.
( ) Uma frequência de amostragem exageradamente alta pode não resultar em melhorias significativas no desempenho, mas pode acentuar os efeitos de ruídos de alta frequência e elevar o custo do projeto devido ao aumento da demanda computacional.
A sequência correta do preenchimento dos parênteses é
Provas
Questão presente nas seguintes provas
Um analista do setor de Controle e Confiabilidade de Reatores de
uma empresa nuclear está conduzindo a validação de um novo
loop de controle para o sistema de Regulação de Pressão de um
Vaso de Compensação de Volume, um componente essencial de
segurança.
Durante um ensaio de resposta ao degrau unitário, o analista verifica que a variável de saída do sistema de pressão apresenta um comportamento suave, sem oscilações e sem sobressinal, com crescimento exponencial monotônico até atingir o valor final em regime permanente.
Com base nas características da resposta transitória observada, esse comportamento dinâmico é mais precisamente modelado por um sistema fundamental
Durante um ensaio de resposta ao degrau unitário, o analista verifica que a variável de saída do sistema de pressão apresenta um comportamento suave, sem oscilações e sem sobressinal, com crescimento exponencial monotônico até atingir o valor final em regime permanente.
Com base nas características da resposta transitória observada, esse comportamento dinâmico é mais precisamente modelado por um sistema fundamental
Provas
Questão presente nas seguintes provas
Um sinal diferencial de baixa amplitude, gerado por um
extensômetro de resistência elétrica em uma ponte de
Wheatstone, necessita ser amplificado. Dada a natureza do sinal e
os requisitos de condicionamento, o circuito que constitui a
solução eletrônica mais robusta e eficiente é
Provas
Questão presente nas seguintes provas
Um sensor de temperatura é inserido em um processo que sofre
variações rápidas. O engenheiro observa, experimentalmente, que
a resposta do sensor a um degrau de temperatura pode ser bem
aproximada por um sistema de primeira ordem com constante de
tempo t.
Considerando essa modelagem, é correto afirmar que
Considerando essa modelagem, é correto afirmar que
Provas
Questão presente nas seguintes provas
Em uma linha de água limpa, escoando em regime estável, o
projetista precisa medir a vazão volumétrica com um dispositivo
simples, robusto e que opera a partir da diferença de pressão
gerada por uma restrição na tubulação.
Nessa situação, o dispositivo clássico de medição de vazão que atende à exigência é
Nessa situação, o dispositivo clássico de medição de vazão que atende à exigência é
Provas
Questão presente nas seguintes provas
Uma empresa está projetando um sistema de controle para
manter a pressão do circuito primário do reator dentro de limites
seguros. O sistema utiliza realimentação negativa e possui:
G (s) = 40 / s+8 e H (s) = 0,5
A função de transferência global do sistema de malha fechada está representada por
G (s) = 40 / s+8 e H (s) = 0,5
A função de transferência global do sistema de malha fechada está representada por
Provas
Questão presente nas seguintes provas
Durante a análise de um sistema linear de controle, o engenheiro
observa que a resposta do sistema oscila continuamente, sem
crescimento nem decaimento ao longo do tempo.
Com base no posicionamento dos polos no plano s, é correto afirmar que essa característica ocorre porque os polos conjugados do sistema estão localizados
Com base no posicionamento dos polos no plano s, é correto afirmar que essa característica ocorre porque os polos conjugados do sistema estão localizados
Provas
Questão presente nas seguintes provas
Cadernos
Caderno Container