Foram encontradas 694 questões.
Uma legislação prevê que o óleo diesel apresente um teor de enxofre total inferior a 500ppm. Análises feitas em três amostras de origens distintas de diesel forneceram os seguintes resultados:

Dentre os combustíveis analisados, atende(m) à especificação APENAS a(s) amostra(s): (Dados: Massa molar do S = 32g/mol; Densidade do óleo diesel = 0,85g/mL)
Provas
Considere as seguintes substâncias químicas:

A ordem crescente de solubilidade em água das espécies acima, a 25 ºC, é dada por
Provas
Considere a seguinte seqüência de reações:

Analisando os produtos formados nas reações, conclui-se que o produto orgânico
Provas
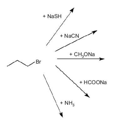
O esquema a seguir apresenta algumas reações que ocorrem com o brometo de propila.

Dentre as substâncias abaixo, aquela que NÃO pode ser considerada um produto das reações esquematizadas é o(a)
Provas
I - A destilação por arraste a vapor é, em geral, utilizada para separar componentes de misturas solúveis em água.
II - A destilação fracionada não pode separar uma mistura azeotrópica porque a composição da fase líquida é igual à composição do vapor.
III - Na destilação de misturas bifásicas a pressão de vapor total acima da mistura é igual à soma das pressões de vapor dos componentes puros individuais.
IV - Na destilação fracionada, quanto menor a razão de refluxo, maior a eficiência de separação dos componentes da mistura.
Estão corretas APENAS as afirmações
Provas
146g de uma mistura de propano e butano sofreram combustão completa gerando 440g de CO2. A fração molar de butano na mistura inicial é (Massas molares (g/mol): C3H8 = 44; C4H10 = 58; CO2 = 44; H2O = 18)
Provas
Dentre os sais abaixo, aquele que gera uma solução com caráter ácido, ao ser dissolvido em água, é o
Provas
A variação da eletronegatividade dos elementos da Classificação Periódica em função de seus raios atômicos está representada no gráfico a seguir.

A propriedade que apresenta uma tendência de crescimento inversa à observada nesse gráfico, quando analisada em função do raio atômico, é
Provas
Dentre os cloretos do grupo 2 da Classificação Periódica, listados abaixo, aquele cujo metal apresenta menos de oito elétrons na última camada é o
Provas
Uma viga com 3m de comprimento em balanço, módulo de resistência de 400cm3, e tensão admissível de 60MPa, pode suportar em sua extremidade um peso, em N, de
Provas
Caderno Container