Foram encontradas 357 questões.
Sejam !$ \hat{p} !$ e !$ \tilde{p} !$ dois estimadores do parâmetro p da distribuição Binomial, em que Y é a variável desta distribuição e n o tamanho da amostra:
!$ \hat{p}=\dfrac{Y}{n}\,\,\,\,\, \tilde{p}=\dfrac{Y+1}{n+1} !$
Sob o critério do erro quadrado médio, para pequenas amostras, não há supremacia de um estimador sobre o outro.
Provas
No que se refere ao desempenho do setor externo da economia brasileira no período 1967-1973, é possível constatar:
Item 1 - um aumento da participação dos empréstimos privados na composição da dívida externa brasileira;
Provas
Seja Y uma variável aleatória contínua com distribuição de probabilidade f(y;!$ \theta !$), em que !$ \theta !$ = (!$ \theta !$1,!$ \theta !$2 ,...,!$ \theta !$p). Considere uma amostra aleatória de Y, com tamanho n. Com relação à função de verossimilhança L(!$ \theta !$), é correto afirmar que:
Item 0 - !$ ln(\theta)= ln L(\theta)=\sum_{i=1}^n log f(y_1;\theta) !$, em que ln é o logaritmo natural.
Provas
Considere a terna (S,!$ \Sigma !$,P), em que !$ S \ne \varnothing !$ é o conjunto Universo, !$ \Sigma !$ é o conjunto dos possíveis eventos e, P é uma medida de probabilidade. Verifique se afirmativa abaixo é verdadeira (V) ou falsa (F):
Item 2 - Sejam dois eventos A e B, em que Prob (A) = 1/2 e Prob (B) = 1/3. Se A e B são eventos mutuamente exclusivos, então Prob (B!$ \cap !$Ac) é igual a 1/6.
Provas
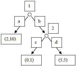
Considere o jogo na forma extensiva apresentado a seguir.

Item 1 - O perfil de estratégias (b,c) é um equilíbrio de Nash.
Provas
THIRD TEXT
Keynes' largest influence came from a convoluted, badly organized and in places nearly incomprehensible tome published in 1936, during the depths of the Great Depression. It was called The General Theory of Employment, Interest and Money.
Keynes' basic idea was simple. In order to keep people fully employed, governments have to run deficits when the economy is slowing. That's because the private sector won't invest enough. As their markets become saturated, businesses reduce their investments, setting in motion a dangerous cycle: less investment, fewer jobs, less consumption and even less reason for business to invest. The economy may reach perfect balance, but at a cost of high unemployment and social misery. Better for governments to avoid the pain in the first place by taking up the slack.
The notion that government deficits are good has an odd ring these days. For most of the past two decades, America's biggest worry has been inflation brought by excessive demand. Inflation soared into double digits in the 1970s, budget deficits ballooned in the '80s, and now a Democratic President congratulates himself for a budget surplus that he wants to use to pay down the debt. But some 60 years ago, when 1 out of 4 adults couldn't find work, the problem was lack of demand.
Even then, Keynes had a hard sell. Most economists of the era rejected his idea and favored balanced budgets. Most politicians didn't understand his idea to begin with. In the 1932 presidential election, Franklin Roosevelt had blasted Herbert Hoover for running a deficit, and dutifully promised he would balance the budget if elected. Keynes' visit to the White House two years later to urge F.D.R. to do more deficit spending wasn't exactly a blazing success. "He left a whole rigmarole of figures," a bewildered F.D.R. complained to Labor Secretary Frances Perkins. "He must be a mathematician rather than a political economist." Keynes was equally underwhelmed, telling Perkins that he had "supposed the President was more literate economically speaking."
As the Depression wore on, Roosevelt tried public works, farm subsidies and other devices to restart the economy, but he never completely gave up trying to balance the budget. In 1938 the Depression deepened. Reluctantly, F.D.R. embraced the only new idea he hadn't yet tried, that of the bewildering British "mathematician." As the President explained in a fireside chat, "We suffer primarily from a failure of consumer demand because of a lack of buying power. "It was therefore up to the government to "create an economic upturn" by making "additions to the purchasing power of the nation."
Yet not until the U.S. entered World War II did F.D.R. try Keynes' idea on a scale necessary to pull the nation out of the doldrums - and Roosevelt, of course, had little choice. The big surprise was just how productive America could be when given the chance. Between 1939 and 1944 (the peak of wartime production), the nation's output almost doubled, and unemployment plummeted - from more than 17% to just over 1%.
Never before had an economic theory been so dramatically tested. Even granted the special circumstances of war mobilization, it seemed to work exactly as Keynes predicted. The grand experiment even won over many Republicans. America's Employment Act of 1946 - the year Keynes died - codified the new wisdom, making it "the continuing policy and responsibility of the Federal Government ... to promote maximum employment, production, and purchasing power."
Were Keynes alive today he would surely admire the vigor of the U.S. economy, but he would also notice that some 40% of the global economy is in recession and much of the rest is slowing down: Japan, flat on its back; Southeast Asia, far poorer than it was just two years ago; Brazil, teetering; Germany, burdened by double-digit unemployment and an economic slowdown; and declining prices worldwide for oil and raw materials.
In light of all this, Keynes would be mystified that the International Monetary Fund is requiring troubled Third World nations to raise taxes and slash spending, that "euro" membership demands budget austerity, and that a U.S. President wants to hold on to budget surpluses. You can bet Keynes wouldn't be silent. Dapper and distinguished as he was, he'd enter the fray with both fists and a mighty roar (Reich, R. B. “Joyn Maynard Keynes”. Time, Latin American Edition, March 29, 1999, p.76).
According to the text:
Item 1 - Herbert Hoover’s pursuit of a balanced budget made the recession deeper.
Provas
Em relação às funções de utilidade dos consumidores é correto afirmar que:
Item 2 - Para um consumidor com uma função de utilidade do tipo U(X1, X2) = X11/2 + X2, um aumento na renda altera absolutamente as quantidades demandadas de X1 e de X2
Provas
O proprietário de uma editora de livros infantis deseja contratar um agente para vender de casa em casa seus livros. Se o agente for contratado, ele poderá esforçar-se muito, em cujo caso venderá o equivalente a 2500 reais em livros durante um mês com probabilidade 3/4 e venderá o equivalente a 100 reais com probabilidade 1/4. Caso o agente não se esforce, venderá 2500 reais com probabilidade 1/4 e 100 reais com probabilidade 3/4. A utilidade de von Neumann-Morgenstern do agente é U(x) = x1/2, e existe um custo para o agente se esforçar correspondendo a 20 unidades de utilidade. O proprietário não observa o esforço do agente, mas observa quanto ele conseguiu vender, e deve escolher um contrato (r,s) em que r é o salário do agente se vender 2500 reais e s se vender 100 reais.
Item 2 - Se o proprietário oferecer r = s = 400 o agente aceitará o emprego e terá utilidade esperada 20.
Provas
Considere a terna (S,!$ \Sigma !$,P), em que !$ S \ne \varnothing !$ é o conjunto Universo, !$ \Sigma !$ é o conjunto dos possíveis eventos e, P é uma medida de probabilidade. Verifique se afirmativa abaixo é verdadeira (V) ou falsa (F):
Item 0 - Se dois eventos são disjuntos, eles serão também independentes.
Provas
É correto afirmar que no início dos anos oitenta (1981-1983)
Item 3 - O período foi seguido por quase uma década de crescimento econômico medíocre (relativamente à média dos anos 70) e de inflação elevada.
Provas
Caderno Container