Foram encontradas 357 questões.
A respeito do limite abaixo, assinale V (verdadeiro) ou F (falso):
Item 3 - !$ 1-(r^2/2!)+(r^4/4!)-(r^6/6!)+(r^8/8!)-......=sen(r) !$
Provas
BASED ON YOUR INTERPRETATION OF THE TEXTS THAT FOLLOW, DETERMINE IF EACH STATEMENT IS TRUE OR FALSE.
FIRST TEXT
An Indian newsweekly featured Amartya Sen on the cover of a late October 1998 issue with the headline “The Prophet we ignore.” The scholar of poverty has spent decades devising novel approaches to solving India’s woes – and the government of his native country has often chosen to forgo his advice, the magazine contends.
Nevertheless, Sen’s work has not gone unnoticed. The Royal Swedish Academy of Sciences chose to award Sen a Nobel for his contributions to welfare economics, the study of the way societies make fair choices about allocating resources. His work deals with fundamental questions such as how income inequality should be measured and what the conditions that lead to famines are. The academy noted that Sen’s melding of tools from philosophy with economics “restored an ethical dimension to the discussion of vital economic problems.”
In May 1993 Sen wrote an article in Scientific American called “The Economics of Life and Death.” In the following excerpt Sen discusses the genesis of a famine:
Economic explanations of famine are often sought in measures of food production and availability. And public policy is frequently based on a country’s aggregate statistics of the amount of food available per person, an indicator made prominent by Thomas Robert Malthus in the early 1800s. Yet contrary to popular belief, famine can result even when that overall indicator is high. Reliance on such simple figures often creates a false sense of security and thus prevents governments from taking measures to avert famine.
A more adequate understanding of famine requires examining the channels through which food is acquired and distributed as well as studying the entitlement of different sections of society. Starvation occurs because a substantial proportion of the population loses the means of obtaining food. Such a loss can result from unemployment, from a fall in the purchasing power of wages or from a shift in the exchange rate between goods and services sold and food bought. Information about these factors and the other economic processes that influence a particular group’s ability to procure food should form the basis of policies designed to avoid famine and relieve hunger.
The Bangladesh famine of 1974 demonstrates the need for a broader appreciation of the factors leading to such a calamity. That year, the amount of food available per capita was high in Bangladesh: indeed, it was higher than in any other year between 1971 and 1976. But floods that occurred from late June until August interfered with rice transplantation ... and other agricultural activities in the northern district. Those disruptions, in turn, caused unemployment among rural laborers, who typically lead a hand-to-mouth existence. Bereft of wages, these workers could no longer buy much food and became victims of starvation...
[The situation was exacerbated by precautionary hoarding and speculative stockpiling, which caused prices to rise and hurt the food-buying ability of poor Bangladeshis.] When food prices peaked in October, so also did the death toll...
The occurrence of this famine illustrates how disastrous it can be to rely solely on food supply figures. Food is never shared equally by all people on the basis of total availability. In addition, private and commercial stocks of produce are offered to or withdrawn from the market in response to monetary incentives and expectation of price changes.
There are several ways to prevent famine. In Africa and Asia, growing more food would obviously help, not only because it would reduce the cost of food but also because it would add to the economic means of populations largely employed in producing food. Augmenting food production, however, is not the only answer. Indeed, given the variability of the weather, concentrating too much of a nation’s resources on growing more food can increase the population’s vulnerability to droughts and floods. In sub-Saharan Africa, in particular, there is a strong need for diversification of production, including the gradual expansion of manufacturing.
No matter how successful the expansion of production and diversification may be in many African and Asian countries, millions of people will continue to be devastated by floods, droughts and other disasters. Famine can be averted in these situations by increasing the purchasing power of the most affected groups – those with the least ability to obtain food. Public employment programs can rapidly provide an income. The newly hired laborers can then compete with others for a share of the total food supply. The creation of jobs at a wage does, of course, raise prices: rather than letting the destitute starve, such a practice escalates the total demand for food. That increase can actually be beneficial, because it brings about a reduction in consumption by other, less affected groups. This process distributes the shortage more equitably, and the sharing can deter famine. (Gibbs, W. W., Nemeck, S. and Stix, G. The 1998 Nobel Prizes in Sciences. Scientific American. January 1999, p 11).
According to the text:
Item 3 - Sen manifests his optimism about the possibilities of averting famine in Africa and Asia.
Provas
Assinale V (verdadeiro) ou F (falso):
Item 2 - Se !$ f(x,y) !$ tem derivadas parciais de todas as ordens em torno do ponto (-1, 1) e se !$ \dfrac{\delta f}{\delta y}(-1,1)=1 !$ e !$ (x^2+2xy+7)\cdot \dfrac{\delta^2f}{\delta x^2}(x,y)+(3x-y+4)\cdot \dfrac{\delta f}{\delta y} (x,y)=0 !$, então !$ \dfrac{\delta^3 f}{\delta x^3}(-1,1)=-\dfrac{1}{2} !$;
Provas
Em relação às funções de utilidade dos consumidores é correto afirmar que:
Item 1 - Uma transformação monotônica de uma função de utilidade do tipo U(X,Y) = (X + Y) 1/2 não muda a taxa marginal de substituição.
Provas
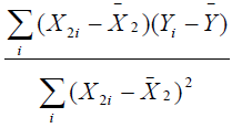
Seja o modelo de regressão linear clássico com duas variáveis explicativas X2 e X3: Yi= !$ \beta !$1 + !$ \beta !$2X2i + !$ \beta !$3X3i + ui. É correto afirmar que:
Se a correlação entre X2 e X3 é zero, então o estimador de mínimos quadrados ordinários (MQO) de !$ \beta_2 !$ é 
Provas
Considere a equação em diferenças !$ y_{t+2}-y_{t+1}+\dfrac{1}{4}y_t=t-1 !$ tal que !$ y_0=1 !$ e !$ y_1=-5 !$. Assinale V (verdadeiro) ou F (falso):
Item 1 - A solução particular é : !$ y^p_t=-20+4t !$
Provas
Considere o jogo estático entre dois agentes apresentado a seguir.

Item 4 - Todo equilíbrio de Nash num jogo estático é eficiente de Pareto.
Provas
BASED ON YOUR INTERPRETATION OF THE TEXTS THAT FOLLOW, DETERMINE IF EACH STATEMENT IS TRUE OR FALSE.
FIRST TEXT
An Indian newsweekly featured Amartya Sen on the cover of a late October 1998 issue with the headline “The Prophet we ignore.” The scholar of poverty has spent decades devising novel approaches to solving India’s woes – and the government of his native country has often chosen to forgo his advice, the magazine contends.
Nevertheless, Sen’s work has not gone unnoticed. The Royal Swedish Academy of Sciences chose to award Sen a Nobel for his contributions to welfare economics, the study of the way societies make fair choices about allocating resources. His work deals with fundamental questions such as how income inequality should be measured and what the conditions that lead to famines are. The academy noted that Sen’s melding of tools from philosophy with economics “restored an ethical dimension to the discussion of vital economic problems.”
In May 1993 Sen wrote an article in Scientific American called “The Economics of Life and Death.” In the following excerpt Sen discusses the genesis of a famine:
Economic explanations of famine are often sought in measures of food production and availability. And public policy is frequently based on a country’s aggregate statistics of the amount of food available per person, an indicator made prominent by Thomas Robert Malthus in the early 1800s. Yet contrary to popular belief, famine can result even when that overall indicator is high. Reliance on such simple figures often creates a false sense of security and thus prevents governments from taking measures to avert famine.
A more adequate understanding of famine requires examining the channels through which food is acquired and distributed as well as studying the entitlement of different sections of society. Starvation occurs because a substantial proportion of the population loses the means of obtaining food. Such a loss can result from unemployment, from a fall in the purchasing power of wages or from a shift in the exchange rate between goods and services sold and food bought. Information about these factors and the other economic processes that influence a particular group’s ability to procure food should form the basis of policies designed to avoid famine and relieve hunger.
The Bangladesh famine of 1974 demonstrates the need for a broader appreciation of the factors leading to such a calamity. That year, the amount of food available per capita was high in Bangladesh: indeed, it was higher than in any other year between 1971 and 1976. But floods that occurred from late June until August interfered with rice transplantation ... and other agricultural activities in the northern district. Those disruptions, in turn, caused unemployment among rural laborers, who typically lead a hand-to-mouth existence. Bereft of wages, these workers could no longer buy much food and became victims of starvation...
[The situation was exacerbated by precautionary hoarding and speculative stockpiling, which caused prices to rise and hurt the food-buying ability of poor Bangladeshis.] When food prices peaked in October, so also did the death toll...
The occurrence of this famine illustrates how disastrous it can be to rely solely on food supply figures. Food is never shared equally by all people on the basis of total availability. In addition, private and commercial stocks of produce are offered to or withdrawn from the market in response to monetary incentives and expectation of price changes.
There are several ways to prevent famine. In Africa and Asia, growing more food would obviously help, not only because it would reduce the cost of food but also because it would add to the economic means of populations largely employed in producing food. Augmenting food production, however, is not the only answer. Indeed, given the variability of the weather, concentrating too much of a nation’s resources on growing more food can increase the population’s vulnerability to droughts and floods. In sub-Saharan Africa, in particular, there is a strong need for diversification of production, including the gradual expansion of manufacturing.
No matter how successful the expansion of production and diversification may be in many African and Asian countries, millions of people will continue to be devastated by floods, droughts and other disasters. Famine can be averted in these situations by increasing the purchasing power of the most affected groups – those with the least ability to obtain food. Public employment programs can rapidly provide an income. The newly hired laborers can then compete with others for a share of the total food supply. The creation of jobs at a wage does, of course, raise prices: rather than letting the destitute starve, such a practice escalates the total demand for food. That increase can actually be beneficial, because it brings about a reduction in consumption by other, less affected groups. This process distributes the shortage more equitably, and the sharing can deter famine. (Gibbs, W. W., Nemeck, S. and Stix, G. The 1998 Nobel Prizes in Sciences. Scientific American. January 1999, p 11).
According to the text:
Item 2 - Creation of wage paying jobs leads to the expansion of the demand for food and is, therefore, detrimental to the more vulnerable groups.
Provas
Dado o seguinte enunciado envolvendo variáveis aleatórias, é correto afirmar que:
Item 3 - Se (X,Y) possuem densidade conjunta f(x,y) = !$ \phi^2e^{\phi\,y},\phi > 0, !$ e !$ 0 \le x \le y !$, então E(X)= 1/!$ \phi !$.
Provas
Seja o modelo de regressão linear clássico com duas variáveis explicativas X2 e X3: Yi= !$ \beta !$1 + !$ \beta !$2X2i + !$ \beta !$3X3i + ui. É correto afirmar que:
Se as variáveis explicativas são estocásticas, porém não correlacionadas com o erro (ui ), então, os estimadores dos parâmetros do modelo são não-viesados.
Provas
Caderno Container