Foram encontradas 817 questões.
Text for items from 25 through 30
Sharks in the water
In the last year, Somalia’s pirates have attacked 120 vessels in the Gulf of Aden, choking commerce in a critical shipping lane (the transit route for 20 percent of the world’s oil), blocking aid supplies and driving up transport costs.
The last few weeks have shown how hard it will be to defeat the pirates on the high seas, which seems like the international community’s approach. When British Marines tried to board a captured fishing dhow on Nov. 11, they had to go in with guns blazing and killed one possible hostage in the process. A week later, an Indian warship opened fire on what it thought was a pirate mother ship. But the target turned out to be a Thai fishing vessel. When pirates seized their most valuable prize ever on Nov. 15 — the Sirius Star supertanker holding 2 million barrels of Saudi crude — everyone kept their distance.
As this suggests, Somalia’s seaborne bandits are making a mockery of all efforts to stop them. Pirates have only increased their efforts, ranging across an area bigger than the Mediterranean. The Sirius Star was taken 450 nautical miles southeast of Kenya, and with it, the Somalis now hold 300 hostages and 15 ships.
The Somalia’s internationally recognized transitional government has invited foreign navies to do what’s necessary to stop the pirates, even attacking them ashore if need be. The Security Council has affirmed that option. Moreover, nearly all of Somalia’s pirates come from one region (Puntland), live in a single town (Boosaaso) and stash captured vessels in one of three ports (Eyl, Hobyo or Haradhere) — making interdiction that much easier. Andrew Linington of Nautilus UK, a seaman’s union that has had many of its members taken hostage, says the international community “knows where the pirates are, they know the ports they use, they know the mother ships. Stopping them could be done,” he says. But that would be expensive at a time when U.S. resources are tied up in Afghanistan and Iraq.
Rod Nordlant. Sharks in the water. Internet: (adapted).
According to the text, it is correct to affirm that
a supertanker was the pirates' most valuable capture.
Provas
Text for items from 25 through 30
Sharks in the water
In the last year, Somalia’s pirates have attacked 120 vessels in the Gulf of Aden, choking commerce in a critical shipping lane (the transit route for 20 percent of the world’s oil), blocking aid supplies and driving up transport costs.
The last few weeks have shown how hard it will be to defeat the pirates on the high seas, which seems like the international community’s approach. When British Marines tried to board a captured fishing dhow on Nov. 11, they had to go in with guns blazing and killed one possible hostage in the process. A week later, an Indian warship opened fire on what it thought was a pirate mother ship. But the target turned out to be a Thai fishing vessel. When pirates seized their most valuable prize ever on Nov. 15 — the Sirius Star supertanker holding 2 million barrels of Saudi crude — everyone kept their distance.
As this suggests, Somalia’s seaborne bandits are making a mockery of all efforts to stop them. Pirates have only increased their efforts, ranging across an area bigger than the Mediterranean. The Sirius Star was taken 450 nautical miles southeast of Kenya, and with it, the Somalis now hold 300 hostages and 15 ships.
The Somalia’s internationally recognized transitional government has invited foreign navies to do what’s necessary to stop the pirates, even attacking them ashore if need be. The Security Council has affirmed that option. Moreover, nearly all of Somalia’s pirates come from one region (Puntland), live in a single town (Boosaaso) and stash captured vessels in one of three ports (Eyl, Hobyo or Haradhere) — making interdiction that much easier. Andrew Linington of Nautilus UK, a seaman’s union that has had many of its members taken hostage, says the international community “knows where the pirates are, they know the ports they use, they know the mother ships. Stopping them could be done,” he says. But that would be expensive at a time when U.S. resources are tied up in Afghanistan and Iraq.
Rod Nordlant. Sharks in the water. Internet: (adapted).
According to the text, it is correct to affirm that
an Indian warship attacked a supposed pirate mother ship which was, nevertheless, a fishing vessel.
Provas
Text for items from 25 through 30
Sharks in the water
In the last year, Somalia’s pirates have attacked 120 vessels in the Gulf of Aden, choking commerce in a critical shipping lane (the transit route for 20 percent of the world’s oil), blocking aid supplies and driving up transport costs.
The last few weeks have shown how hard it will be to defeat the pirates on the high seas, which seems like the international community’s approach. When British Marines tried to board a captured fishing dhow on Nov. 11, they had to go in with guns blazing and killed one possible hostage in the process. A week later, an Indian warship opened fire on what it thought was a pirate mother ship. But the target turned out to be a Thai fishing vessel. When pirates seized their most valuable prize ever on Nov. 15 — the Sirius Star supertanker holding 2 million barrels of Saudi crude — everyone kept their distance.
As this suggests, Somalia’s seaborne bandits are making a mockery of all efforts to stop them. Pirates have only increased their efforts, ranging across an area bigger than the Mediterranean. The Sirius Star was taken 450 nautical miles southeast of Kenya, and with it, the Somalis now hold 300 hostages and 15 ships.
The Somalia’s internationally recognized transitional government has invited foreign navies to do what’s necessary to stop the pirates, even attacking them ashore if need be. The Security Council has affirmed that option. Moreover, nearly all of Somalia’s pirates come from one region (Puntland), live in a single town (Boosaaso) and stash captured vessels in one of three ports (Eyl, Hobyo or Haradhere) — making interdiction that much easier. Andrew Linington of Nautilus UK, a seaman’s union that has had many of its members taken hostage, says the international community “knows where the pirates are, they know the ports they use, they know the mother ships. Stopping them could be done,” he says. But that would be expensive at a time when U.S. resources are tied up in Afghanistan and Iraq.
Rod Nordlant. Sharks in the water. Internet: (adapted).
According to the text, it is correct to affirm that
British Marines tried to board a captured pirate ship on Nov 11. In this process, a possible hostage was killed.
Provas
- Estatística InferencialEstimadoresDistribuição Amostral dos EstimadoresDistribuição Amostral da MédiaFator de Correção para População Finita

Com base nessa situação hipotética e nas informações apresentadas, julgue os próximos itens.
Provas
- Estatística InferencialEstimadoresDistribuição Amostral dos EstimadoresDistribuição Amostral da MédiaFator de Correção para População Finita

Com base nessa situação hipotética e nas informações apresentadas, julgue os próximos itens.
Provas

Com base nessa situação hipotética e nas informações apresentadas, julgue os próximos itens.
Provas

Com base nessa situação hipotética e nas informações apresentadas, julgue os próximos itens.
Provas
Considerando a hipótese de que a quantidade anual de granéis sólidos transportada por uma empresa forme uma série temporal {Wt}t = 1, ..., n, em que Wt represente a quantidade transportada pela empresa no mês t, e que essa série siga um processo ARIMA(0,1,1), julgue os itens subsequentes.
A variância do processo {Wt}t = 1, ..., n é igual à variância do ruído branco.
Provas
- Estatística InferencialTeste de HipótesesAnálise de Variância (ANOVA)
- Séries TemporaisAnálise de Séries Temporais
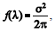
Considerando a hipótese de que a quantidade anual de granéis sólidos transportada por uma empresa forme uma série temporal {Wt}t = 1, ..., n, em que Wt represente a quantidade transportada pela empresa no mês t, e que essa série siga um processo ARIMA(0,1,1), julgue os itens subsequentes.
A densidade espectral do processo Wt é dado por
em que
é a variância do ruído branco.
Provas
Considerando a hipótese de que a quantidade anual de granéis sólidos transportada por uma empresa forme uma série temporal {Wt}t = 1, ..., n, em que Wt represente a quantidade transportada pela empresa no mês t, e que essa série siga um processo ARIMA(0,1,1), julgue os itens subsequentes.
A função de autocorrelação parcial entre (Wt - Wt - 1) e (Wt -3 -Wt - 4) é nula.
Provas
Caderno Container