Foram encontradas 120 questões.
Em um estudo de estabilidade, foram avaliadas duas condições de degradação de um IFA hipotético, denominado FAR.
Condição 1
FAR + O 2 + H 2O → FAR ox + produtos secundários
Equação logarítmica associada:
ln([FAR] t) = −0,025t + ln(200)
Condição 2
FAR + luz + H 2O → FAR hidro+fot + produtos secundários
Equação logarítmica correspondente:
ln([FAR] t) = −0,003t + ln(200)
Neste caso, [FAR] t indica a concentração de FAR no tempo t (em horas), e a concentração inicial ([FAR] 0) é de 200 mg/L.
A partir dessas informações, julgue os itens a seguir.
A constante de velocidade de degradação da reação de oxidação do FAR na presença de água é –0,025 por hora.
Provas
Em um estudo de estabilidade, foram avaliadas duas condições de degradação de um IFA hipotético, denominado FAR.
Condição 1
FAR + O 2 + H 2O → FAR ox + produtos secundários
Equação logarítmica associada:
ln([FAR] t) = −0,025t + ln(200)
Condição 2
FAR + luz + H 2O → FAR hidro+fot + produtos secundários
Equação logarítmica correspondente:
ln([FAR] t) = −0,003t + ln(200)
Neste caso, [FAR] t indica a concentração de FAR no tempo t (em horas), e a concentração inicial ([FAR] 0) é de 200 mg/L.
A partir dessas informações, julgue os itens a seguir.
Em condições de umidade, a presença de oxigênio é mais crítica para a estabilidade do FAR que a incidência de luz.
Provas
Em um estudo de estabilidade, foram avaliadas duas condições de degradação de um IFA hipotético, denominado FAR.
Condição 1
FAR + O 2 + H 2O → FAR ox + produtos secundários
Equação logarítmica associada:
ln([FAR] t) = −0,025t + ln(200)
Condição 2
FAR + luz + H 2O → FAR hidro+fot + produtos secundários
Equação logarítmica correspondente:
ln([FAR] t) = −0,003t + ln(200)
Neste caso, [FAR] t indica a concentração de FAR no tempo t (em horas), e a concentração inicial ([FAR] 0) é de 200 mg/L.
A partir dessas informações, julgue os itens a seguir.
As reações de degradação do FAR tanto por oxidação quanto por fotólise em ambiente úmido seguem uma cinética de ordem zero, considerando-se que as taxas de degradação são expressas como constantes diretas, independentes da concentração do FAR.
Provas
Com relação aos métodos analíticos, julgue os itens que se seguem.
Peptídeos não podem ser analisados por espectrometria de massa, pois, como têm pontos de ebulição muito altos, não podem ser vaporizados sem ser carbonizados.
Provas
Com relação aos métodos analíticos, julgue os itens que se seguem.
A difração de pó de raios X (XRPD) é uma técnica adequada para determinar o grau de cristalinidade de uma substância medicamentosa e a composição de uma mistura heterogênea, para estudar fenômenos de polimorfismo e solvatomorfismo e reações induzidas termicamente e, também, para realizar estudos de estabilidade
Provas
Com relação aos métodos analíticos, julgue os itens que se seguem.
Por possuírem as mesmas propriedades físicas e químicas, dois enantiômeros do mesmo composto apresentam interações idênticas a outras moléculas quirais, devido à semelhança no arranjo espacial dos átomos e, portanto, na afinidade de ligação a uma fase estacionária quiral.
Provas

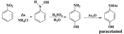
Lúcia Baptistella, Rosana Giacomini e Paulo Imamura. Síntese dos analgésicos paracetamol e fenacetina e do adoçante dulcina: um projeto para química orgânica experimental. In: Química Nova, Vol. 26, n.º 2, 2003, p. 284-286.
O paracetamol diferencia-se dos AINEs (anti-inflamatórios não esteroidais) clássicos porque apresenta efeitos analgésicos e antipiréticos sem apresentar ações anti-inflamatórias ou anticoagulantes significativas. Considerando a reação de síntese do paracetamol apresentada na imagem precedente, julgue os itens a seguir.
O zinco metálico é capaz de reduzir a ligação N–O, produzindo as funções N–H e O–H sem alterar a estrutura ou estereoquímica do resto da molécula. No caso em tela, o produto final é um aminoálcool com relação 1,3 entre os grupos OH e NH.
Provas

Lúcia Baptistella, Rosana Giacomini e Paulo Imamura. Síntese dos analgésicos paracetamol e fenacetina e do adoçante dulcina: um projeto para química orgânica experimental. In: Química Nova, Vol. 26, n.º 2, 2003, p. 284-286.
O paracetamol diferencia-se dos AINEs (anti-inflamatórios não esteroidais) clássicos porque apresenta efeitos analgésicos e antipiréticos sem apresentar ações anti-inflamatórias ou anticoagulantes significativas. Considerando a reação de síntese do paracetamol apresentada na imagem precedente, julgue os itens a seguir.
A reação entre o anidrido acético e o 4-aminofenol é quimiosseletiva, pois apenas o grupo NH!$ _2 !$ é acilado; isso ocorre porque o grupo NH!$ _2 !$ é mais nucleofílico que o grupo OH.
Provas

Lúcia Baptistella, Rosana Giacomini e Paulo Imamura. Síntese dos analgésicos paracetamol e fenacetina e do adoçante dulcina: um projeto para química orgânica experimental. In: Química Nova, Vol. 26, n.º 2, 2003, p. 284-286.
O paracetamol diferencia-se dos AINEs (anti-inflamatórios não esteroidais) clássicos porque apresenta efeitos analgésicos e antipiréticos sem apresentar ações anti-inflamatórias ou anticoagulantes significativas. Considerando a reação de síntese do paracetamol apresentada na imagem precedente, julgue os itens a seguir.
Na presença de C!$ _2 !$H!$ _5 !$I e C!$ _2 !$H!$ _5 !$O!$ ^- !$, o paracetamol reage formando o composto cuja fórmula estrutural é corretamente apresentada a seguir.

Provas
Julgue os próximos itens, relativos a métodos de conservação e de transformação de alimentos.
Todas as etapas de refino de óleos e gorduras devem ser realizadas a baixas temperaturas para preservar os antioxidantes naturais e o perfil de ácidos graxos.
Provas
Caderno Container