Foram encontradas 165 questões.
Para responder à questão, tenha como referência o diagrama de entidades e relacionamentos, apresentado abaixo, que representa parte do modelo de dados de uma instituição financeira.
Que comando SQL deve ser dado para criar a Tabela Tipo_Conta?
Provas
Questão presente nas seguintes provas
Para responder à questão, tenha como referência o diagrama de entidades e relacionamentos, apresentado abaixo, que representa parte do modelo de dados de uma instituição financeira.
Sendo feita a transformação desse modelo de dados em um modelo diretamente equivalente a um modelo relacional, de maneira a manter o número mínimo de Tabelas necessárias, e sendo feita a migração das chaves para constituir as chaves externas, sem o uso de chaves substitutas, quantos campos serão adicionados ao modelo?
Provas
Questão presente nas seguintes provas
Para responder à questão, tenha como referência o diagrama de entidades e relacionamentos, apresentado abaixo, que representa parte do modelo de dados de uma instituição financeira.
Que representação gráfica do modelo ER proposta pela notação IDEF1X representa relacionamento existente entre Conta e Cliente?
Provas
Questão presente nas seguintes provas
Para responder à questão, tenha como referência o diagrama de entidades e relacionamentos, apresentado abaixo, que representa parte do modelo de dados de uma instituição financeira.
Que expressão em Álgebra Relacional cria, a partir da Tabela Conta, uma Tabela com duas colunas, id_conta e debito_bloqueado_sn, contendo apenas as contas com credito_bloqueado_sn igual a "S"?
Provas
Questão presente nas seguintes provas
Para responder à questão, tenha como referência o diagrama de entidades e relacionamentos, apresentado abaixo, que representa parte do modelo de dados de uma instituição financeira.
Um DBA deve escolher que tipo de índice usar para a coluna nome_agencia da Tabela Agência. Ele sabe que essa coluna é acessada por dois tipos de consulta SQL, exemplificados abaixo:
SELECT * FROM Agencia WHERE nome_agencia > 'A' AND nome_agencia <'B' ORDER BY nome_agencia
e
SELECT * FROM Agencia WHERE nome_agencia = 'Copabana'
Que tipo de índice atende a ambas as consultas de forma eficiente?
Provas
Questão presente nas seguintes provas
Ao criar uma base de dados Oracle utilizando o DBCA, o responsável pode escolher um dentre os seguintes dois modos de conexão para a base de dados:
Provas
Questão presente nas seguintes provas
Uma Tabela temporária no SQL Server 2008 denominada ##alunos será apagada automaticamente quando a sessão que criou a Tabela
Provas
Questão presente nas seguintes provas
O SpamAssassin é um filtro antispam disponível em sistemas Linux.
Para configurar todos os endereços de e-mail do domínio acme.com.br como endereços que não devem ser classificados como spam, o usuário do sistema deve editar o arquivo user_prefs da pasta .spamassassin do seu home e acrescentar a diretiva de configuração
Para configurar todos os endereços de e-mail do domínio acme.com.br como endereços que não devem ser classificados como spam, o usuário do sistema deve editar o arquivo user_prefs da pasta .spamassassin do seu home e acrescentar a diretiva de configuração
Provas
Questão presente nas seguintes provas
Para manter os pacotes de aplicativos Linux atualizados, existem vários formatos de arquivos de gerenciamento de pacotes. Algumas versões de Linux usam pacotes .deb, outras usam pacotes .rpm.
O gerenciador de pacotes do tipo .deb é chamado
O gerenciador de pacotes do tipo .deb é chamado
Provas
Questão presente nas seguintes provas
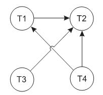
No contexto do tratamento de impasses (deadlock) no controle de concorrência de banco de dados, considere o seguinte grafo espera-por:

Nesse instante, para o banco de dados continuar funcionando

Nesse instante, para o banco de dados continuar funcionando
Provas
Questão presente nas seguintes provas
Cadernos
Caderno Container