Foram encontradas 960 questões.
No contrato de afretamento de navio por tempo, o afretador
recebe a embarcação armada e fica responsável pelo
pagamento do aluguel, dos gastos de combustível, da
remuneração dos tripulantes e das despesas portuárias.
Provas
Questão presente nas seguintes provas
Julgue os próximos itens, pertinentes a planejamento, controle da
produção e outros aspectos da construção naval.
Seções de vigas primárias podem ser soldadas,
principalmente no caso de módulos pequenos.Provas
Questão presente nas seguintes provas
Julgue os próximos itens, pertinentes a planejamento, controle da
produção e outros aspectos da construção naval.
No projeto e na construção de petroleiros, usam-se espaços
entre tanques — de óleo vegetal, óleo mineral, óleo
lubrificante, água doce, entre outros — para evitar riscos de
contaminação. Para esses espaços, chamados de
COFERDANS, é correto utilizar praças de bombas e tanques
de lastro.Provas
Questão presente nas seguintes provas
Julgue os próximos itens, pertinentes a planejamento, controle da
produção e outros aspectos da construção naval.
No projeto e na construção de conveses, podem ser usados
os sistemas transversal e longitudinal. O sistema longitudinal
é adequado para conveses resistentes de navios de carga seca
com comprimento superior a 120 m.Provas
Questão presente nas seguintes provas
Julgue os próximos itens, pertinentes a planejamento, controle da
produção e outros aspectos da construção naval.
Em geral, podem ser encontrados diferentes tipos de leiaute.
Assim, na seção de corte de chapas e montagem de painéis,
usa-se o leiaute por processo ou funcional, ao passo que, na
seção de shot-blasting, utiliza-se o leiaute por produto.Provas
Questão presente nas seguintes provas
Julgue os próximos itens, pertinentes a planejamento, controle da
produção e outros aspectos da construção naval.
No projeto da praça de máquinas, devem ser consideradas
todas as solicitações previstas para a sua estrutura, como, por
exemplo, a de que a base do motor principal é solicitada por
cargas de peso, empuxo e torque de eixo, por momentos de
desbalanceamento e por forças de explosão.Provas
Questão presente nas seguintes provas
Julgue os próximos itens, pertinentes a planejamento, controle da
produção e outros aspectos da construção naval.
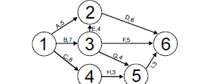
Considere que a figura a seguir ilustre um exemplo de rede CPM, usada para o planejamento de obras, em que o tempo é calculado em dias. Nesse caso, os círculos numerados da figura indicam eventos, as setas marcadas por letras indicam atividades, o caminho crítico é de 17 dias e há folgas entre algumas atividades.

Provas
Questão presente nas seguintes provas
Julgue os próximos itens, pertinentes a planejamento, controle da
produção e outros aspectos da construção naval.
As vantagens da construção em diques em relação à
construção em carreira incluem menor custo de construção,
melhores condições de acesso e retirada de equipamentos e
construção realizada no plano horizontal.Provas
Questão presente nas seguintes provas
Julgue os próximos itens, pertinentes a planejamento, controle da
produção e outros aspectos da construção naval.
Em navios cargueiros e graneleiros, o duplo fundo fornece
espaços para tanques de lastro, mas não, para tanques de
combustível.Provas
Questão presente nas seguintes provas
Julgue os próximos itens, pertinentes a planejamento, controle da
produção e outros aspectos da construção naval.
86 Quanto ao projeto e à construção da seção mestra de navios
porta-contêineres, as formas quadrada, dobrada e do tipo
degrau podem ser usadas para o costado. O tipo quadrado é
adequado para navios com raio de bojo relativamente
pequeno e altura do fundo duplo e largura de casco duplo
grandes.Provas
Questão presente nas seguintes provas
Cadernos
Caderno Container