Foram encontradas 150 questões.
Um banco oferece um sistema de aposentadoria privada em que cada participante faz um depósito mensal correspondente a x% do seu salário por um período de 30 anos, realizando o primeiro depósito 1 mês após o ingresso no sistema e totalizando 360 depósitos. Nesse sistema, todo o montante recolhido é corrigido a uma taxa de juros compostos de t% ao mês. Considere que os salários dos participantes desse sistema são mantidos constantes durante todos os anos de contribuição e que, um mês depois de ter efetuado o 360.º depósito, quando da sua aposentadoria, o participante passa a receber, todos os meses, uma pensão igual ao salário S que ele possuía, a qual é descontada do montante que ele tem aplicado no sistema. Considere ainda que, para cada participante, o montante residual que ele possui no sistema após o pagamento de n pensões - R(n), n > 0 - continua a ser corrigido pela mesma taxa de juros t% após a sua aposentadoria. Sabendo que R(0) é igual ao montante acumulado e corrigido no momento do 360º depósito, julgue os itens a seguir, relativos ao sistema de aposentadoria descrito e à previdência social brasileira, tendo como base as informações apresentadas.
Para um participante com salário S > 0 arbitrário, no momento em
que é feito o 3.º depósito, se x = 9 e t = 5, o montante acumulado e
corrigido no sistema, referente a esse participante, é superior ao
montante que seria acumulado e corrigido caso x fosse igual a 10 e
t fosse igual a 1.Provas
Questão presente nas seguintes provas
Um banco oferece um sistema de aposentadoria privada em que cada participante faz um depósito mensal correspondente a x% do seu salário por um período de 30 anos, realizando o primeiro depósito 1 mês após o ingresso no sistema e totalizando 360 depósitos. Nesse sistema, todo o montante recolhido é corrigido a uma taxa de juros compostos de t% ao mês. Considere que os salários dos participantes desse sistema são mantidos constantes durante todos os anos de contribuição e que, um mês depois de ter efetuado o 360.º depósito, quando da sua aposentadoria, o participante passa a receber, todos os meses, uma pensão igual ao salário S que ele possuía, a qual é descontada do montante que ele tem aplicado no sistema. Considere ainda que, para cada participante, o montante residual que ele possui no sistema após o pagamento de n pensões - R(n), n > 0 - continua a ser corrigido pela mesma taxa de juros t% após a sua aposentadoria. Sabendo que R(0) é igual ao montante acumulado e corrigido no momento do 360º depósito, julgue os itens a seguir, relativos ao sistema de aposentadoria descrito e à previdência social brasileira, tendo como base as informações apresentadas.
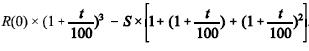
Imediatamente após o recebimento da terceira pensão, um participante do sistema de aposentadoria tem, nesse sistema, um montante residual igual a
.Provas
Questão presente nas seguintes provas
Um banco oferece um sistema de aposentadoria privada em que cada participante faz um depósito mensal correspondente a x% do seu salário por um período de 30 anos, realizando o primeiro depósito 1 mês após o ingresso no sistema e totalizando 360 depósitos. Nesse sistema, todo o montante recolhido é corrigido a uma taxa de juros compostos de t% ao mês. Considere que os salários dos participantes desse sistema são mantidos constantes durante todos os anos de contribuição e que, um mês depois de ter efetuado o 360.º depósito, quando da sua aposentadoria, o participante passa a receber, todos os meses, uma pensão igual ao salário S que ele possuía, a qual é descontada do montante que ele tem aplicado no sistema. Considere ainda que, para cada participante, o montante residual que ele possui no sistema após o pagamento de n pensões - R(n), n > 0 - continua a ser corrigido pela mesma taxa de juros t% após a sua aposentadoria. Sabendo que R(0) é igual ao montante acumulado e corrigido no momento do 360º depósito, julgue os itens a seguir, relativos ao sistema de aposentadoria descrito e à previdência social brasileira, tendo como base as informações apresentadas.
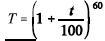
Se, ao final de 5 anos, no momento do 60.º depósito, Pedro possuir no sistema de aposentadoria o montante acumulado e corrigido M, então a expressão
representa o montante acumulado e corrigido pertencente a Pedro por ocasião da sua aposentadoria, em que Provas
Questão presente nas seguintes provas
Um banco oferece um sistema de aposentadoria privada em que cada participante faz um depósito mensal correspondente a x% do seu salário por um período de 30 anos, realizando o primeiro depósito 1 mês após o ingresso no sistema e totalizando 360 depósitos. Nesse sistema, todo o montante recolhido é corrigido a uma taxa de juros compostos de t% ao mês. Considere que os salários dos participantes desse sistema são mantidos constantes durante todos os anos de contribuição e que, um mês depois de ter efetuado o 360.º depósito, quando da sua aposentadoria, o participante passa a receber, todos os meses, uma pensão igual ao salário S que ele possuía, a qual é descontada do montante que ele tem aplicado no sistema. Considere ainda que, para cada participante, o montante residual que ele possui no sistema após o pagamento de n pensões - R(n), n > 0 - continua a ser corrigido pela mesma taxa de juros t% após a sua aposentadoria. Sabendo que R(0) é igual ao montante acumulado e corrigido no momento do 360º depósito, julgue os itens a seguir, relativos ao sistema de aposentadoria descrito e à previdência social brasileira, tendo como base as informações apresentadas.
Para um salário de S reais mensais, considerando x = 10 e t = 1, no momento em que é feito o 12.º depósito, o montante acumulado corrigido no sistema de aposentadoria é igual a Provas
Questão presente nas seguintes provas
Um banco oferece um sistema de aposentadoria privada em que cada participante faz um depósito mensal correspondente a x% do seu salário por um período de 30 anos, realizando o primeiro depósito 1 mês após o ingresso no sistema e totalizando 360 depósitos. Nesse sistema, todo o montante recolhido é corrigido a uma taxa de juros compostos de t% ao mês. Considere que os salários dos participantes desse sistema são mantidos constantes durante todos os anos de contribuição e que, um mês depois de ter efetuado o 360.º depósito, quando da sua aposentadoria, o participante passa a receber, todos os meses, uma pensão igual ao salário S que ele possuía, a qual é descontada do montante que ele tem aplicado no sistema. Considere ainda que, para cada participante, o montante residual que ele possui no sistema após o pagamento de n pensões - R(n), n > 0 - continua a ser corrigido pela mesma taxa de juros t% após a sua aposentadoria. Sabendo que R(0) é igual ao montante acumulado e corrigido no momento do 360º depósito, julgue os itens a seguir, relativos ao sistema de aposentadoria descrito e à previdência social brasileira, tendo como base as informações apresentadas.
No sistema de aposentadoria descrito, caso t seja igual a 1 e
R(0) = 200 S para um certo participante, então, para algum valor muito
grande de n, o montante residual R(n) será menor que R(0).Provas
Questão presente nas seguintes provas
Um banco oferece um sistema de aposentadoria privada em que cada participante faz um depósito mensal correspondente a x% do seu salário por um período de 30 anos, realizando o primeiro depósito 1 mês após o ingresso no sistema e totalizando 360 depósitos. Nesse sistema, todo o montante recolhido é corrigido a uma taxa de juros compostos de t% ao mês. Considere que os salários dos participantes desse sistema são mantidos constantes durante todos os anos de contribuição e que, um mês depois de ter efetuado o 360.º depósito, quando da sua aposentadoria, o participante passa a receber, todos os meses, uma pensão igual ao salário S que ele possuía, a qual é descontada do montante que ele tem aplicado no sistema. Considere ainda que, para cada participante, o montante residual que ele possui no sistema após o pagamento de n pensões - R(n), n > 0 - continua a ser corrigido pela mesma taxa de juros t% após a sua aposentadoria. Sabendo que R(0) é igual ao montante acumulado e corrigido no momento do 360º depósito, julgue os itens a seguir, relativos ao sistema de aposentadoria descrito e à previdência social brasileira, tendo como base as informações apresentadas.
Considerando 1,01180 = 6, caso t seja igual a 1, um indivíduo que tenha um salário de R$ 1.000,00 e que participe mensalmente com 10% do seu salário no sistema de aposentadoria terá, nesse sistema, por ocasião da sua aposentadoria, um montante de R$ 350.000,00.Provas
Questão presente nas seguintes provas
Desejando adquirir um novo computador para acesso mais eficiente à Internet, uma pessoa pesquisou em sítios especializados e encontrou a seguinte especificação.

A partir dessas informações, julgue os itens que se seguem.
As especificações apresentadas permitem concluir que o
computador possui recursos de hardware adequados para ser
conectado à Internet por meio tanto de uma rede ADSL, quanto
de uma rede LAN (local area network).
A partir dessas informações, julgue os itens que se seguem.
Provas
Questão presente nas seguintes provas
Produto tradicional de captação financeira no Brasil, a caderneta de
poupança constitui depósito em dinheiro que acumula juros e
correção monetária e cujos recursos são destinados ao financiamento
da construção e da compra de imóveis. Acerca das regras atuais
aplicáveis a esse produto, julgue os itens que se seguem.
Os bancos não podem cobrar pela manutenção de conta de
poupança.Provas
Questão presente nas seguintes provas
Cartão de crédito é um serviço de intermediação que permite ao
consumidor, mediante a comprovação de sua condição de
usuário, adquirir bens e serviços em estabelecimentos
comerciais credenciados. Essa comprovação é geralmente
realizada no ato da aquisição, com a apresentação do cartão ao
estabelecimento comercial. O cartão é emitido pelo prestador do
serviço de intermediação, a administradora de cartão de crédito.
A respeito desse assunto, julgue os itens subseqüentes.
Autorizar e fiscalizar o funcionamento das
administradoras de cartão de crédito competem ao
BACEN.Provas
Questão presente nas seguintes provas
1 O mundo das finanças nunca mais será o mesmo.
O fantástico desenvolvimento da tecnologia nos últimos anos
mudou em definitivo o conceito de dinheiro. Os melhores
4 investimentos passaram a ser fruto da velocidade das transações,
da ausência de barreiras geográficas e do acesso à informação.
Quanto mais rápido e bem informado for o investidor, menor
7 será sua chance de perda. O tino para negócios foi substituído,
em larga escala, por máquinas velozes e precisas.
Magda David. Internet: <http://www.estadao.com.br> (com adaptações).
Considerando o texto acima e o tema por ele tratado, julgue os itens
que se seguem.
O primeiro período do texto estaria também correto se a forma verbal "mudou" (L.3) estivesse no plural para concordar com "anos" (L.2).O fantástico desenvolvimento da tecnologia nos últimos anos
mudou em definitivo o conceito de dinheiro. Os melhores
4 investimentos passaram a ser fruto da velocidade das transações,
da ausência de barreiras geográficas e do acesso à informação.
Quanto mais rápido e bem informado for o investidor, menor
7 será sua chance de perda. O tino para negócios foi substituído,
em larga escala, por máquinas velozes e precisas.
Magda David. Internet: <http://www.estadao.com.br> (com adaptações).
Considerando o texto acima e o tema por ele tratado, julgue os itens
que se seguem.
Provas
Questão presente nas seguintes provas
Cadernos
Caderno Container