Foram encontradas 369 questões.
Um funcionário, encarregado de verificar o correto funcionamento de uma base de dados relacional, faz o seguinte teste:
select nome from emp where matr = 123;
O resultado é vazio. Então ele executa:
insert into emp(matr, nome, salario, ativo)
values (123, 'José da Silva', 2000, 'N');
commit;
O banco de dados não retorna erro e informa que inseriu uma linha.
Por fim, para verificar, ele consulta novamente:
select nome from emp where matr = 123;
O resultado continua vazio.
Supondo que o sistema gerenciador de banco de dados esteja funcionando corretamente, que opção explica o ocorrido?
select nome from emp where matr = 123;
O resultado é vazio. Então ele executa:
insert into emp(matr, nome, salario, ativo)
values (123, 'José da Silva', 2000, 'N');
commit;
O banco de dados não retorna erro e informa que inseriu uma linha.
Por fim, para verificar, ele consulta novamente:
select nome from emp where matr = 123;
O resultado continua vazio.
Supondo que o sistema gerenciador de banco de dados esteja funcionando corretamente, que opção explica o ocorrido?
Provas
Questão presente nas seguintes provas
No âmbito de bancos de dados distribuídos, seja T uma transação distribuída que deve ser efetivada (commited) segundo o protocolo de compromissamento de duas fases (two-phase commit). Sobre esse assunto, assinale a afirmativa INCORRETA.
Provas
Questão presente nas seguintes provas
Para um melhor desempenho, que valor de FILL FACTOR deve ser utilizado em uma tabela somente para leitura (read-only) no SQL Server 2005?
Provas
Questão presente nas seguintes provas
Observe as seguintes tabelas de um sistema:
Pessoa (nomePessoa, endereço)
Filme (nomeFilme, estúdio, verba)
Trabalha (nomePessoa(FK), nomeFilme(FK), atividade, salário)
Um administrador de dados deseja fazer o seguinte relatório: Todas as pessoas, os filmes nos quais já trabalharam e o total recebido por cada filme. Se uma pessoa nunca trabalhou num filme, ela deve aparecer no relatório. A atividade que a pessoa exerceu no filme (ex: ator, diretor, câmera etc.) não é importante para o relatório.
Qual consulta retorna o conjunto resposta correto?
Pessoa (nomePessoa, endereço)
Filme (nomeFilme, estúdio, verba)
Trabalha (nomePessoa(FK), nomeFilme(FK), atividade, salário)
Um administrador de dados deseja fazer o seguinte relatório: Todas as pessoas, os filmes nos quais já trabalharam e o total recebido por cada filme. Se uma pessoa nunca trabalhou num filme, ela deve aparecer no relatório. A atividade que a pessoa exerceu no filme (ex: ator, diretor, câmera etc.) não é importante para o relatório.
Qual consulta retorna o conjunto resposta correto?
Provas
Questão presente nas seguintes provas
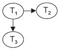
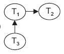
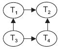
No âmbito de banco de dados, que grafo de precedência representa um escalonamento que NÃO é serializável quanto ao conflito?
Provas
Questão presente nas seguintes provas
Um analista de sistemas recebe o seguinte trecho de descrição de um sistema:
Uma empresa contrata um profissional para trabalhar em um projeto recebendo um determinado salário. Sabe-se que um projeto pode ter a participação de diversas empresas e que um profissional pode desempenhar várias atividades nesse projeto (p.ex. operador de guindaste e pedreiro). Que modelo ER representa corretamente essa descrição?
(O símbolo (*) representa atributo multivalorado).
Uma empresa contrata um profissional para trabalhar em um projeto recebendo um determinado salário. Sabe-se que um projeto pode ter a participação de diversas empresas e que um profissional pode desempenhar várias atividades nesse projeto (p.ex. operador de guindaste e pedreiro). Que modelo ER representa corretamente essa descrição?
(O símbolo (*) representa atributo multivalorado).
Provas
Questão presente nas seguintes provas
- Banco de Dados RelacionalTransaçõesDeadlocks
- Banco de Dados RelacionalTransaçõesLockingBloqueio Compartilhado
- Banco de Dados RelacionalTransaçõesLockingBloqueio Exclusivo
Duas transações (T1 e T2) de banco de dados executam as seguintes seqüências de operações:
T1:
Na tabela DEPARTAMENTO, bloqueia a linha N em modo compartilhado;
Na tabela DEPARTAMENTO, lê a coluna DESPESA da linha N;
Na tabela DEPARTAMENTO, desbloqueia a linha N;
Na tabela PROJETO, bloqueia a linha M em modo compartilhado;
Na tabela PROJETO, lê a coluna VERBA da linha M;
Na tabela PROJETO, desbloqueia a linha M;
Na tabela PROJETO, bloqueia a linha M em modo exclusivo;
Na tabela PROJETO, escreve a coluna VERBA da linha M com o valor VERBA + DESPESA;
Na tabela PROJETO, desbloqueia a linha M;
T2:
Na tabela PROJETO, bloqueia linha M em modo compartilhado;
Na tabela PROJETO, lê a coluna VERBA da linha M;
Na tabela PROJETO, desbloqueia a linha M;
Na tabela DEPARTAMENTO, bloqueia a linha N em modo compartilhado;
Na tabela DEPARTAMENTO, lê a coluna DESPESA da linha N;
Na tabela DEPARTAMENTO, desbloqueia a linha N;
Na tabela DEPARTAMENTO, bloqueia a linha N em modo exclusivo;
Na tabela DEPARTAMENTO, escreve a coluna DESPESA da linha N com o valor DESPESA + VERBA;
Na tabela DEPARTAMENTO, desbloqueia a linha N;
É correto afirmar que essas transações
T1:
Na tabela DEPARTAMENTO, bloqueia a linha N em modo compartilhado;
Na tabela DEPARTAMENTO, lê a coluna DESPESA da linha N;
Na tabela DEPARTAMENTO, desbloqueia a linha N;
Na tabela PROJETO, bloqueia a linha M em modo compartilhado;
Na tabela PROJETO, lê a coluna VERBA da linha M;
Na tabela PROJETO, desbloqueia a linha M;
Na tabela PROJETO, bloqueia a linha M em modo exclusivo;
Na tabela PROJETO, escreve a coluna VERBA da linha M com o valor VERBA + DESPESA;
Na tabela PROJETO, desbloqueia a linha M;
T2:
Na tabela PROJETO, bloqueia linha M em modo compartilhado;
Na tabela PROJETO, lê a coluna VERBA da linha M;
Na tabela PROJETO, desbloqueia a linha M;
Na tabela DEPARTAMENTO, bloqueia a linha N em modo compartilhado;
Na tabela DEPARTAMENTO, lê a coluna DESPESA da linha N;
Na tabela DEPARTAMENTO, desbloqueia a linha N;
Na tabela DEPARTAMENTO, bloqueia a linha N em modo exclusivo;
Na tabela DEPARTAMENTO, escreve a coluna DESPESA da linha N com o valor DESPESA + VERBA;
Na tabela DEPARTAMENTO, desbloqueia a linha N;
É correto afirmar que essas transações
Provas
Questão presente nas seguintes provas
Considere as tabelas abaixo "CLIENTE" e "COMPRA", juntamente com a consulta em seguida.

Quantas linhas retorna a consulta acima?

Quantas linhas retorna a consulta acima?
Provas
Questão presente nas seguintes provas
Seja o seguinte grupo de tabelas de um sistema:
fabricante (idfabricante, nome, endereço)
peça (idmodelo, nome, descrição)
constrói (idmodelo (FK), idfabricante (FK), data, quantidade, cor)
Um programador monta a seguinte consulta SQL:

Qual o retorno dessa consulta?
fabricante (idfabricante, nome, endereço)
peça (idmodelo, nome, descrição)
constrói (idmodelo (FK), idfabricante (FK), data, quantidade, cor)
Um programador monta a seguinte consulta SQL:

Qual o retorno dessa consulta?
Provas
Questão presente nas seguintes provas
O Administrador de Dados de uma loja virtual verifica que há um problema no sistema controlador do estoque. Alguns produtos apresentam quantidades negativas, ou seja, houve mais vendas que a quantidade existente no estoque.
O programador do sistema mostra, em pseudocódigo, o trecho que realiza a verificação do estoque.
Qual opção descreve corretamente o problema e sua solução?
O programador do sistema mostra, em pseudocódigo, o trecho que realiza a verificação do estoque.
Qual opção descreve corretamente o problema e sua solução?
Provas
Questão presente nas seguintes provas
Cadernos
Caderno Container